首页 > 声乐 > 简谱 / 正文内容_五月莫斯科Москвамайская中文简谱_五月莫斯科Москва майская中文简谱-瓦·列别杰夫-库马契,德·波克拉斯,达·波克拉斯简谱

五月莫斯科Москвамайская中文简谱_五月莫斯科Москва майская中文简谱-瓦·列别杰夫-库马契,德·波克拉斯,达·波克拉斯简谱

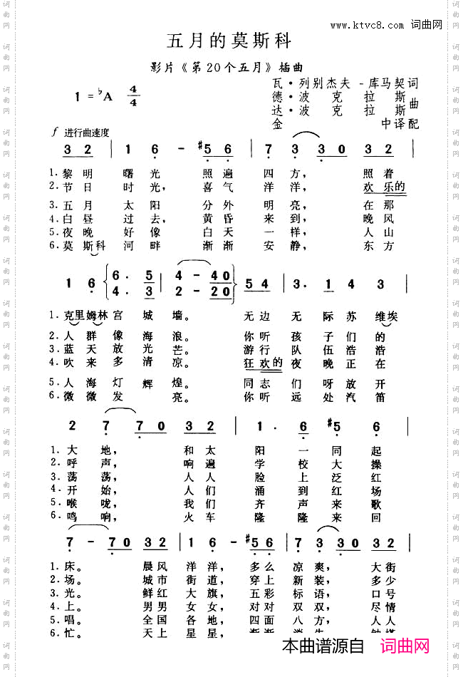
五月莫斯科Москвамайская中文简谱_五月莫斯科Москва майская中文简谱

五月莫斯科Москвамайская中文简谱_五月莫斯科Москва майская中文简谱

相关话题:瓦·列别杰夫-库马契   德·波克拉斯   达·波克拉斯

乐器分类
戏曲专栏
热门话题