首页 > 声乐 > 简谱 / 正文内容_秋日里Вдниосени中俄简谱_秋日里В дни осени中俄简谱-简谱

秋日里Вдниосени中俄简谱_秋日里В дни осени中俄简谱-简谱

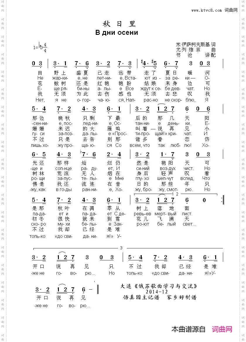
秋日里Вдниосени中俄简谱_秋日里В дни осени中俄简谱

相关话题:

猜你喜欢的简谱

    暂无相关信息
乐器分类
戏曲专栏
热门话题