首页 > 声乐 > 简谱 / 正文内容_菊花台-菊花台,方文山,周杰伦,周杰伦简谱

菊花台-菊花台,方文山,周杰伦,周杰伦简谱

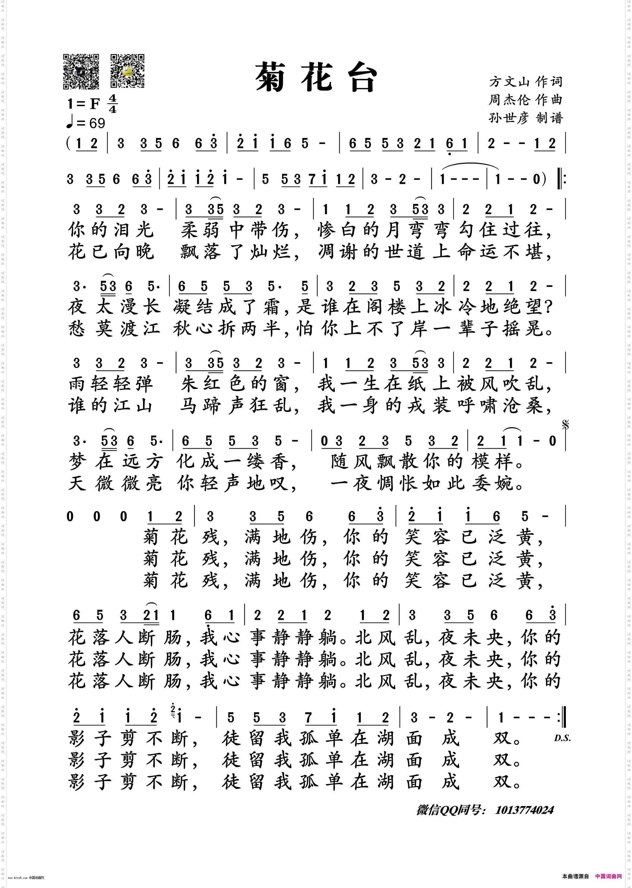
菊花台

相关话题:菊花台   方文山   周杰伦   周杰伦

乐器分类
戏曲专栏
热门话题