首页 > 声乐 > 简谱 / 正文内容_把手伸给我-把手伸给我,陈小奇简谱

把手伸给我-把手伸给我,陈小奇简谱

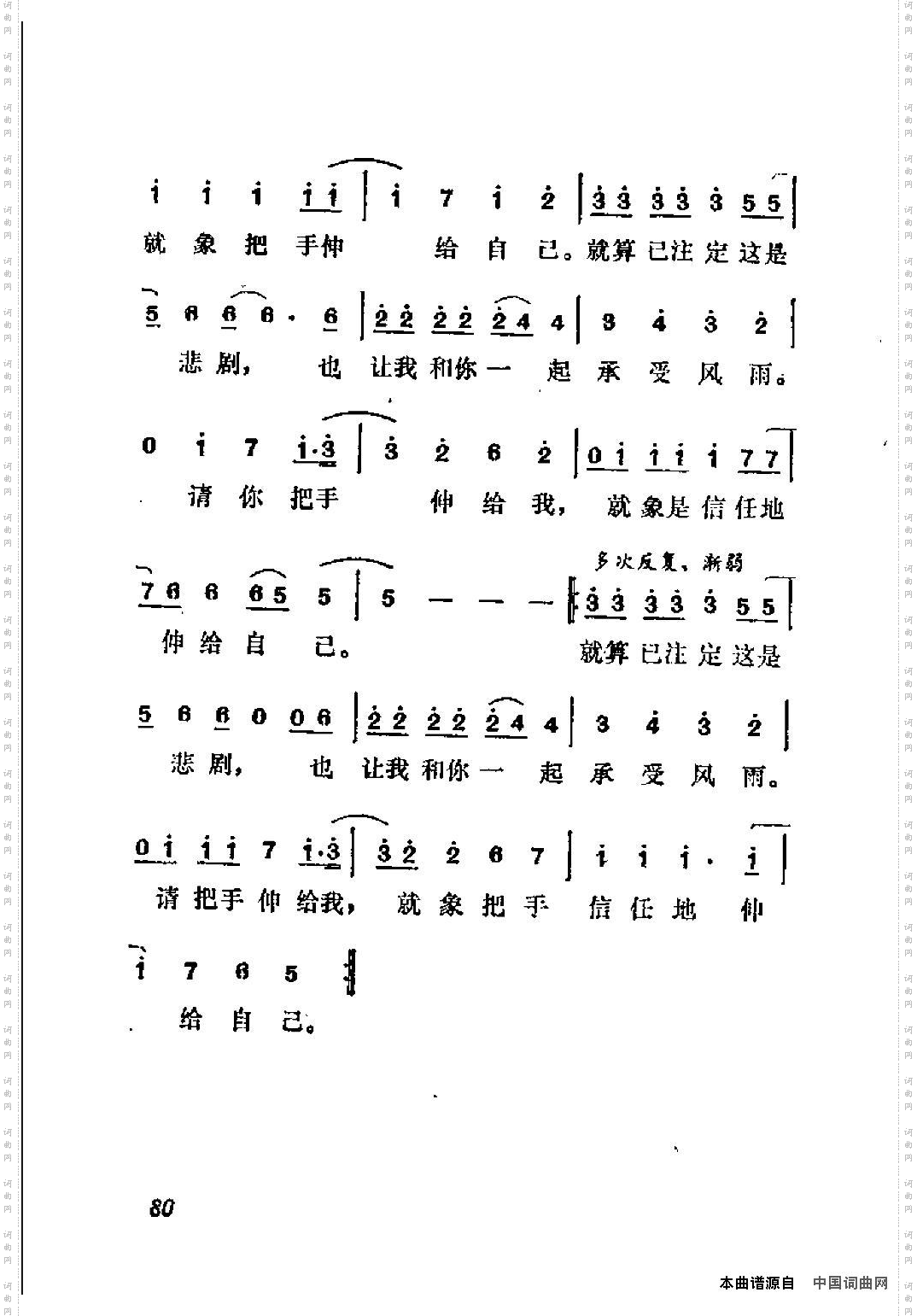
把手伸给我

把手伸给我

把手伸给我

相关话题:把手伸给我   陈小奇

乐器分类
戏曲专栏
热门话题