首页 > 声乐 > 简谱 / 正文内容_海上壮行-海上壮行,田井军,赵福林简谱

海上壮行-海上壮行,田井军,赵福林简谱

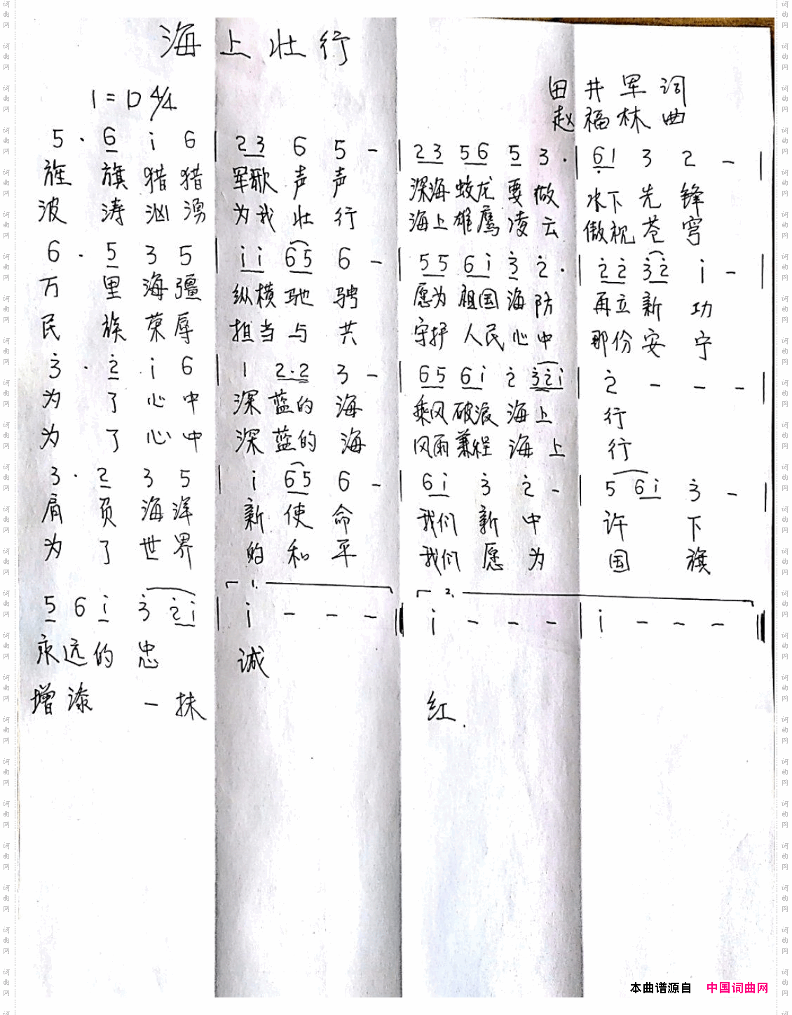
海上壮行

相关话题:海上壮行   田井军   赵福林

乐器分类
戏曲专栏
热门话题