首页 > 声乐 > 简谱 / 正文内容_白洋淀的芦苇在荡漾-墨涤寒秋,刘北休简谱

白洋淀的芦苇在荡漾-墨涤寒秋,刘北休简谱

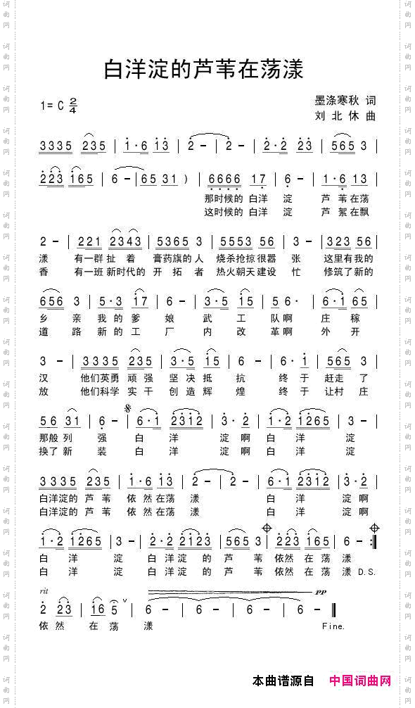
白洋淀的芦苇在荡漾

相关话题:墨涤寒秋   刘北休

乐器分类
戏曲专栏
热门话题