首页 > 声乐 > 简谱 / 正文内容_晴天-晴天,周杰伦,周杰伦,周杰伦简谱

晴天-晴天,周杰伦,周杰伦,周杰伦简谱

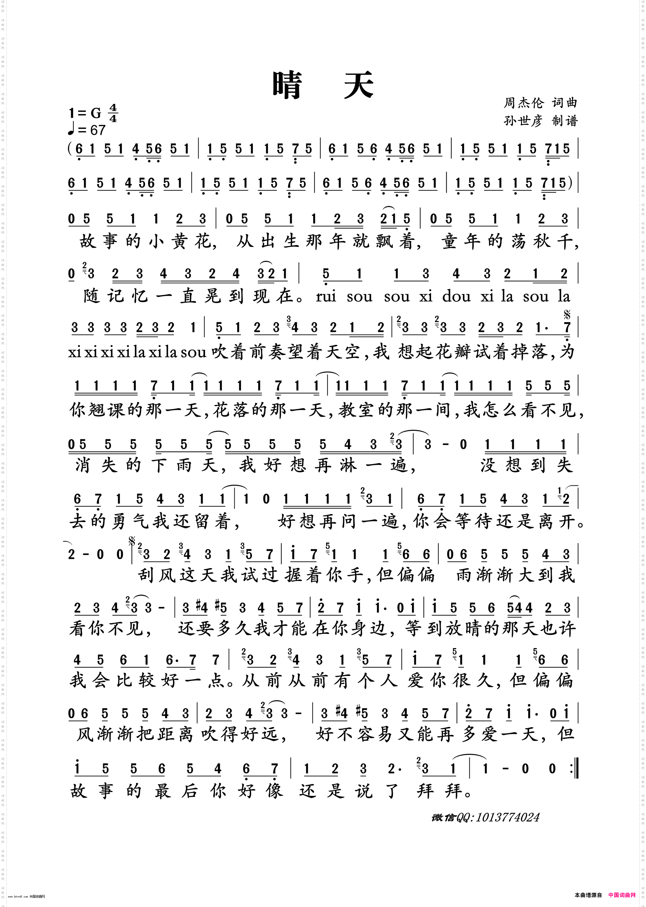
晴天

晴天

晴天

相关话题:晴天   周杰伦   周杰伦   周杰伦

乐器分类
戏曲专栏
热门话题