首页 > 声乐 > 简谱 / 正文内容_送别_留声玩具-送别,留声玩具,留声玩具,留声玩具简谱

送别_留声玩具-送别,留声玩具,留声玩具,留声玩具简谱

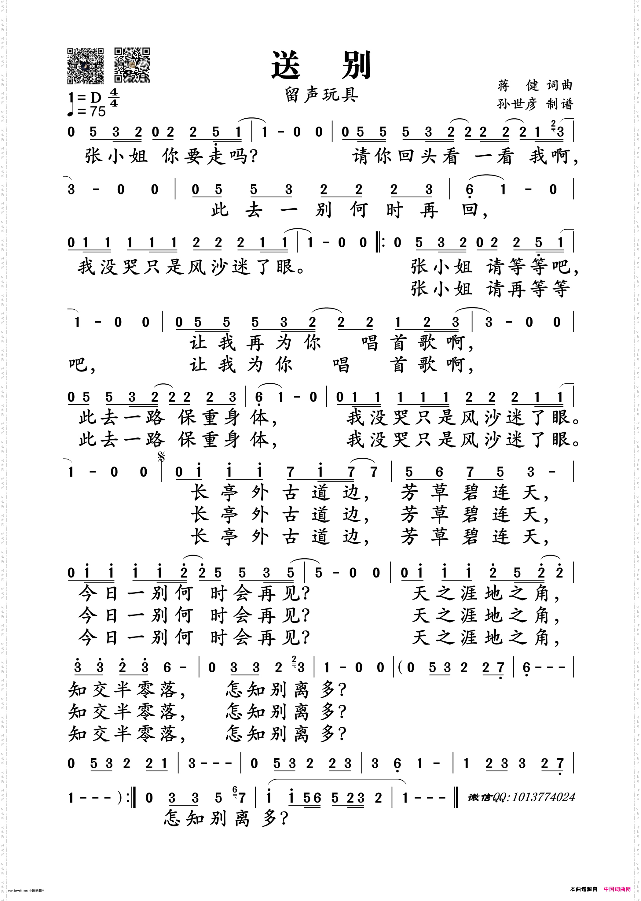
送别_留声玩具

相关话题:送别   留声玩具   留声玩具   留声玩具

乐器分类
戏曲专栏
热门话题