首页 > 声乐 > 简谱 / 正文内容_以人民的名义-以人民的名义,陈曦,董冬冬,韩磊,江映蓉简谱

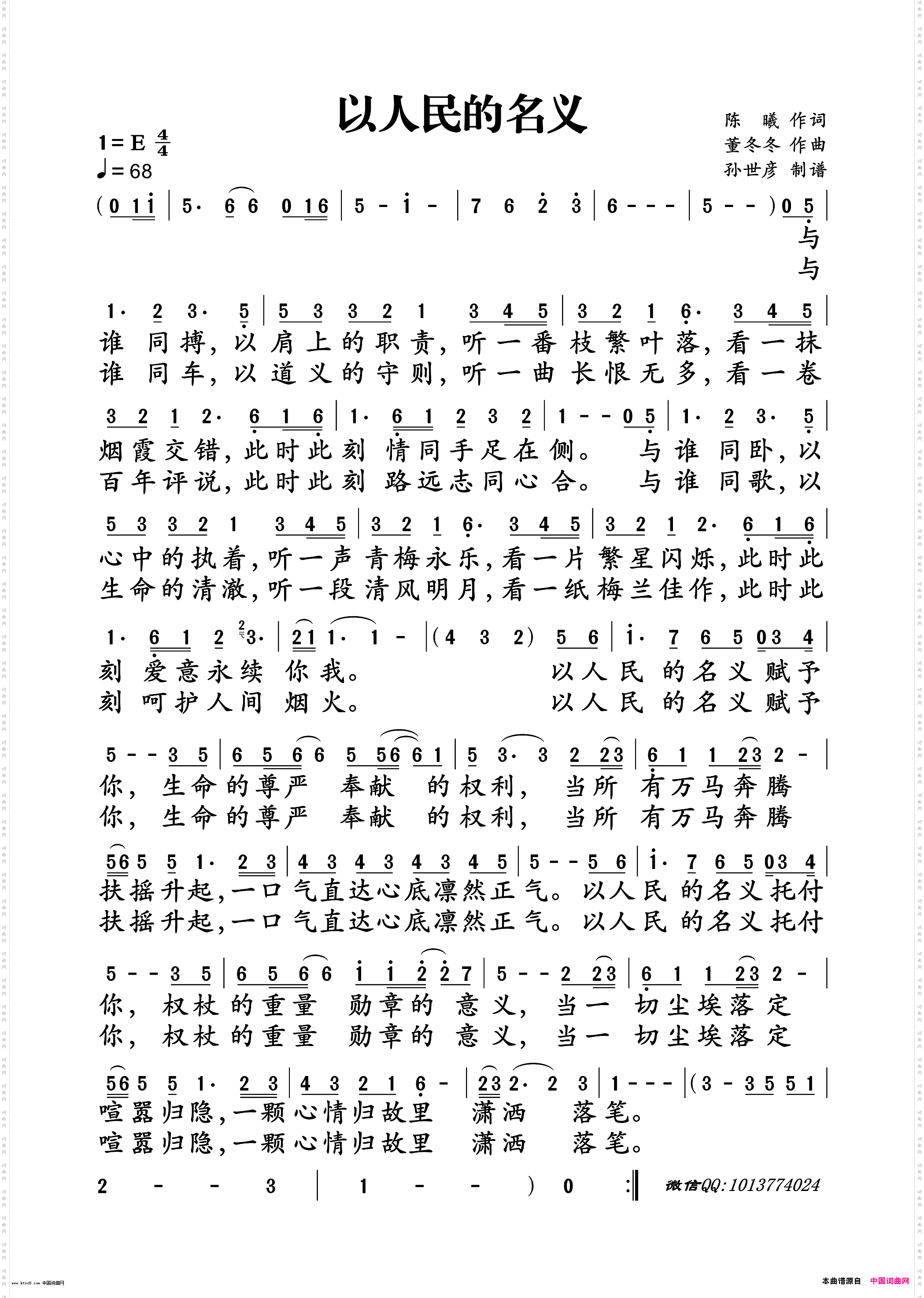
以人民的名义-以人民的名义,陈曦,董冬冬,韩磊,江映蓉简谱

以人民的名义

相关话题:以人民的名义   陈曦   董冬冬   韩磊   江映蓉

乐器分类
戏曲专栏
热门话题