首页 > 声乐 > 简谱 / 正文内容_友爱地久天长-友爱地久天长,王香兰,张燕良,李儒章,刘佳简谱

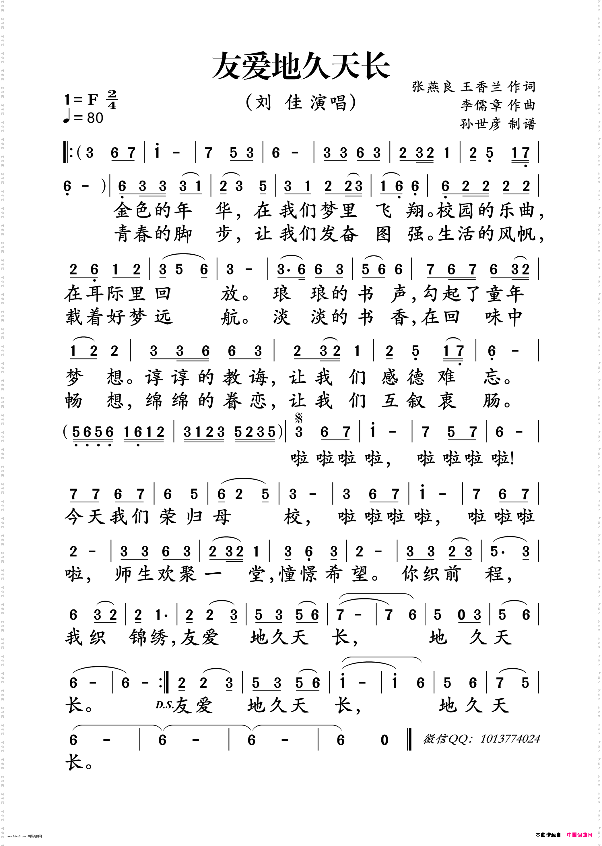
友爱地久天长-友爱地久天长,王香兰,张燕良,李儒章,刘佳简谱

友爱地久天长

相关话题:友爱地久天长   王香兰   张燕良   李儒章   刘佳

乐器分类
戏曲专栏
热门话题