首页 > 声乐 > 简谱 / 正文内容_空谷幽兰-空谷幽兰,许巍简谱

空谷幽兰-空谷幽兰,许巍简谱

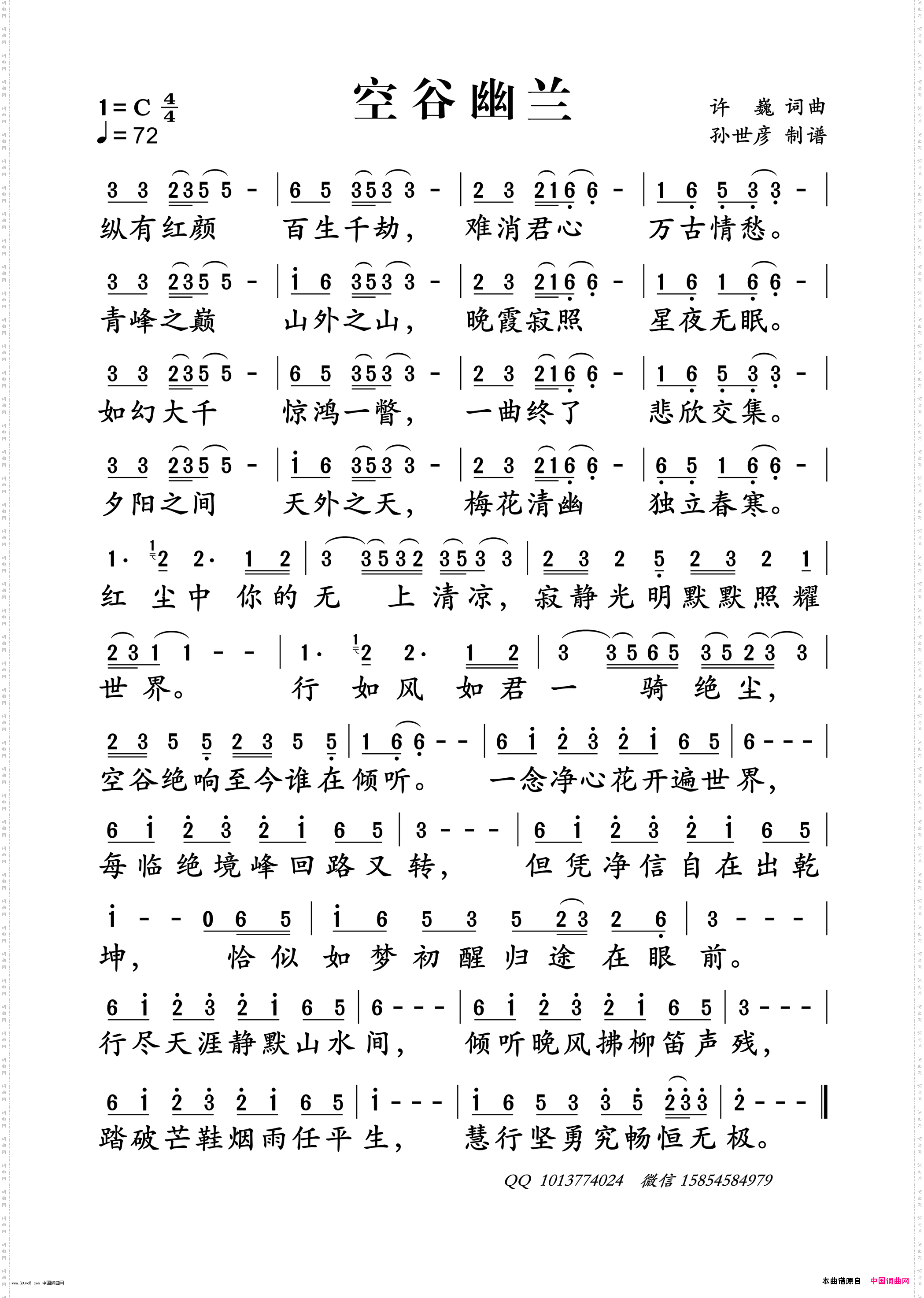
空谷幽兰

相关话题:空谷幽兰   许巍

乐器分类
戏曲专栏
热门话题