首页 > 声乐 > 简谱 / 正文内容_再见青春-再见青春简谱

再见青春-再见青春简谱

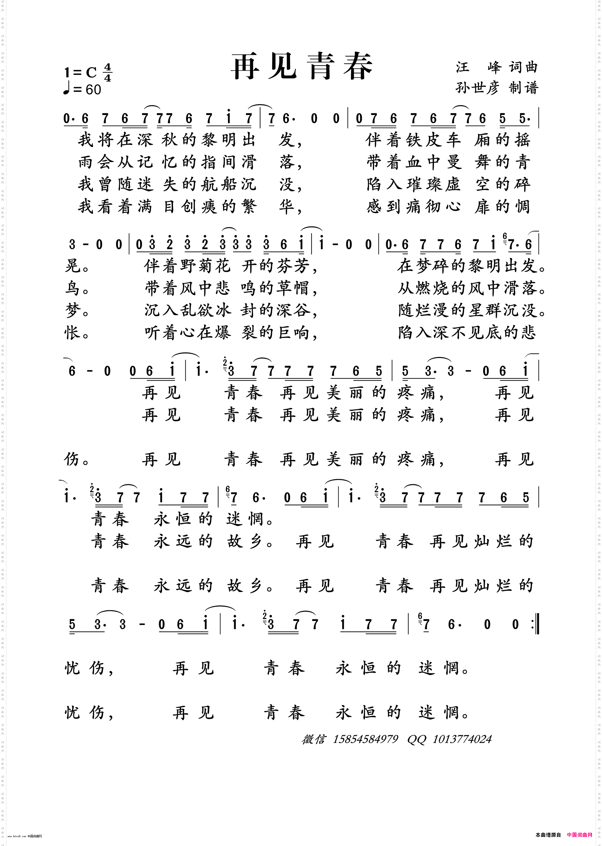
再见青春

相关话题:再见青春

乐器分类
戏曲专栏
热门话题