首页 > 声乐 > 简谱 / 正文内容_说散就散-说散就散简谱

说散就散-说散就散简谱

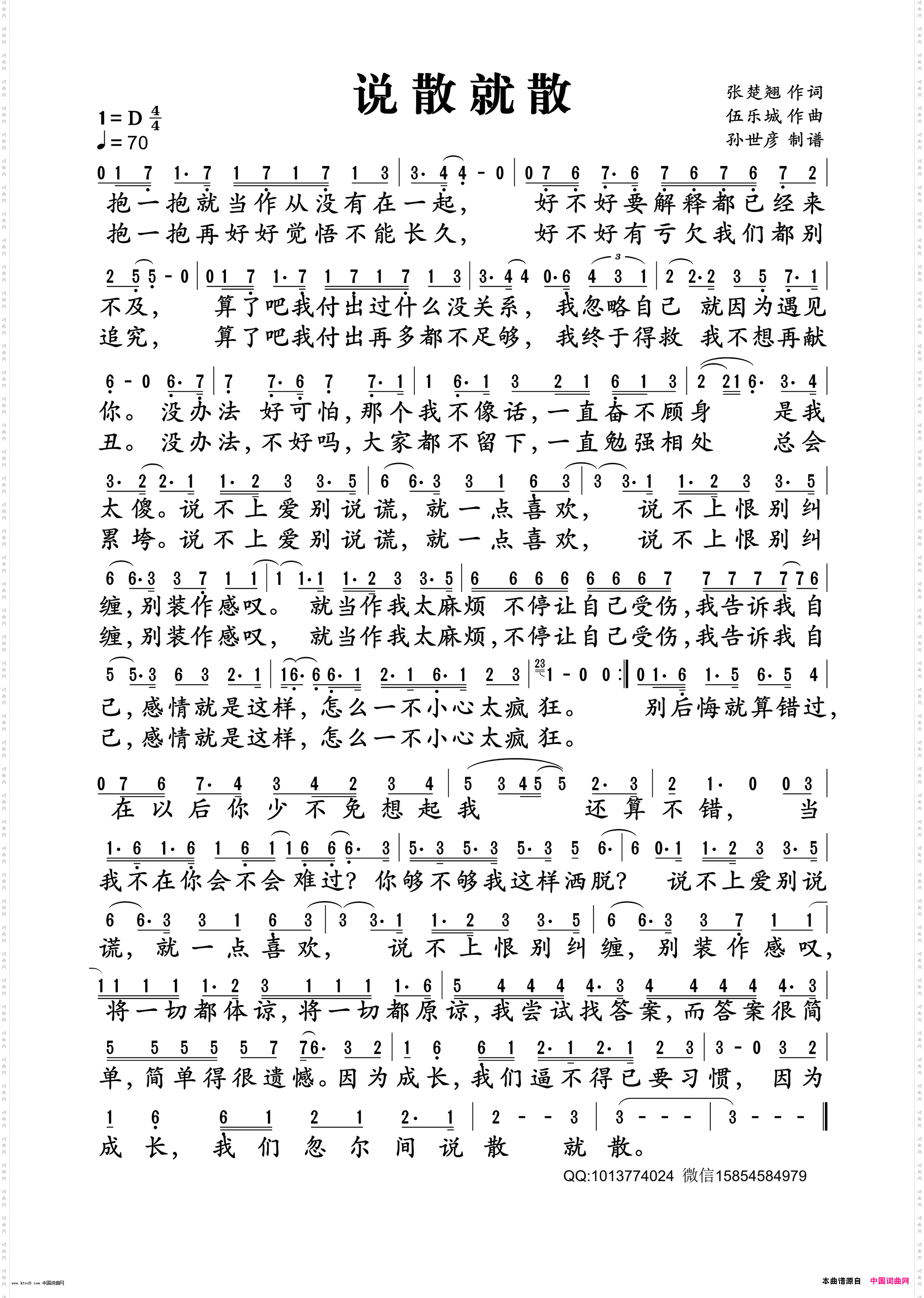
说散就散

相关话题:说散就散

乐器分类
戏曲专栏
热门话题