首页 > 声乐 > 简谱 / 正文内容_江湖梦-江湖梦,潮汐,潮汐,五音jw简谱

江湖梦-江湖梦,潮汐,潮汐,五音jw简谱

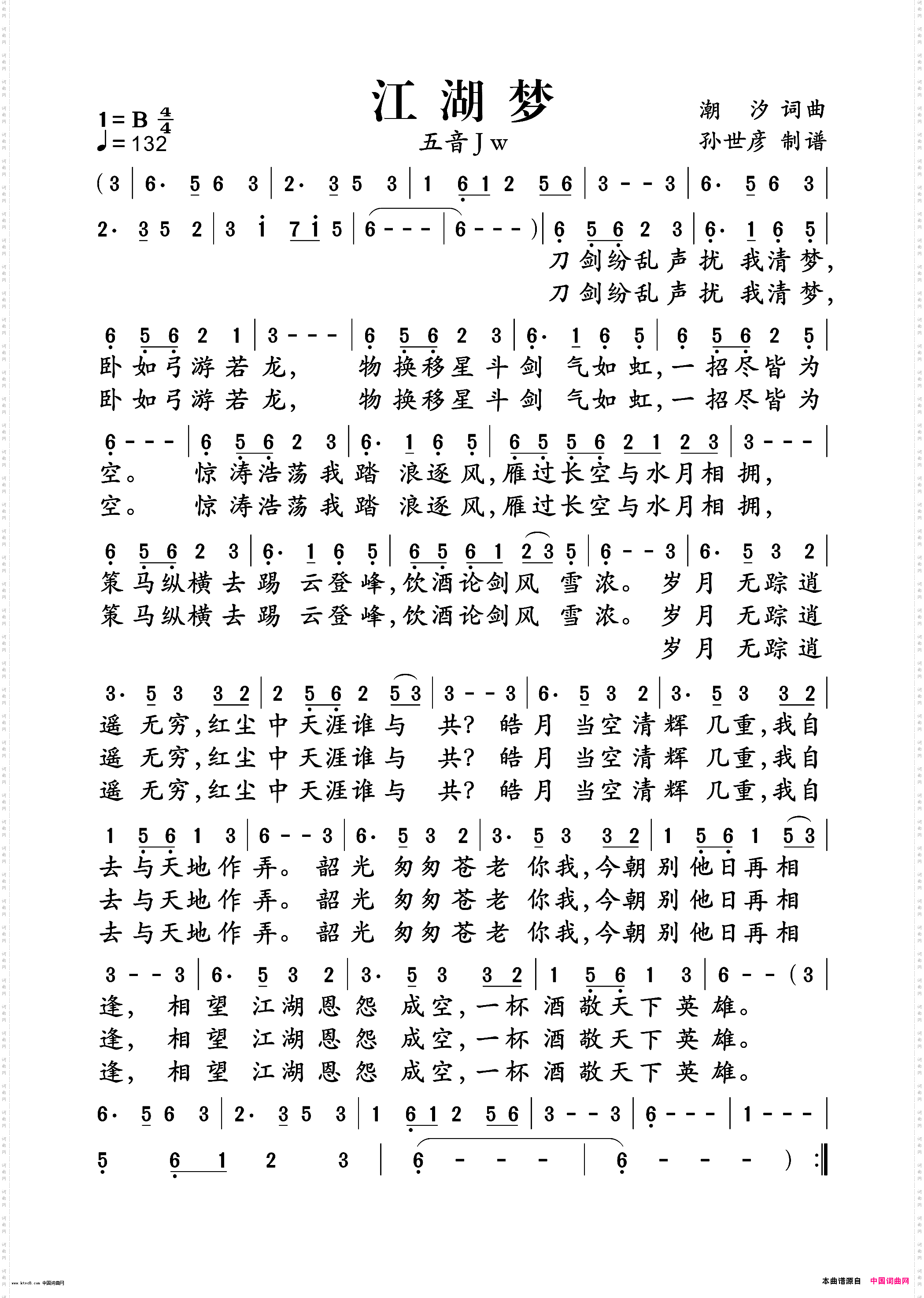
江湖梦

相关话题:江湖梦   潮汐   潮汐   五音jw

乐器分类
戏曲专栏
热门话题