首页 > 声乐 > 简谱 / 正文内容_白羊-白羊,徐秉龙,徐秉龙,徐秉龙简谱

白羊-白羊,徐秉龙,徐秉龙,徐秉龙简谱

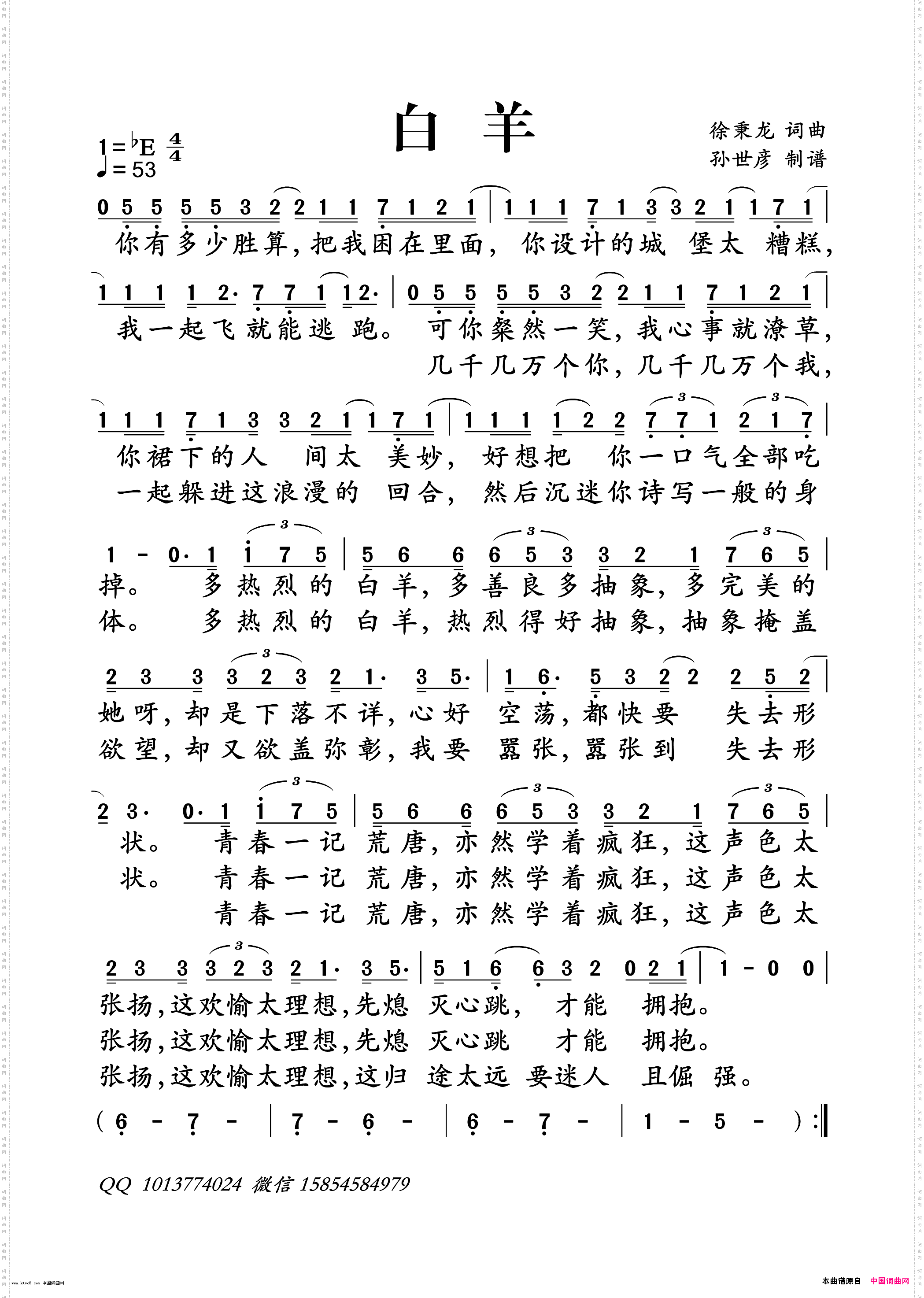
白羊

相关话题:白羊   徐秉龙   徐秉龙   徐秉龙

乐器分类
戏曲专栏
热门话题