首页 > 声乐 > 简谱 / 正文内容_大轮船离码头-大轮船离码头,毕健民,段福培简谱

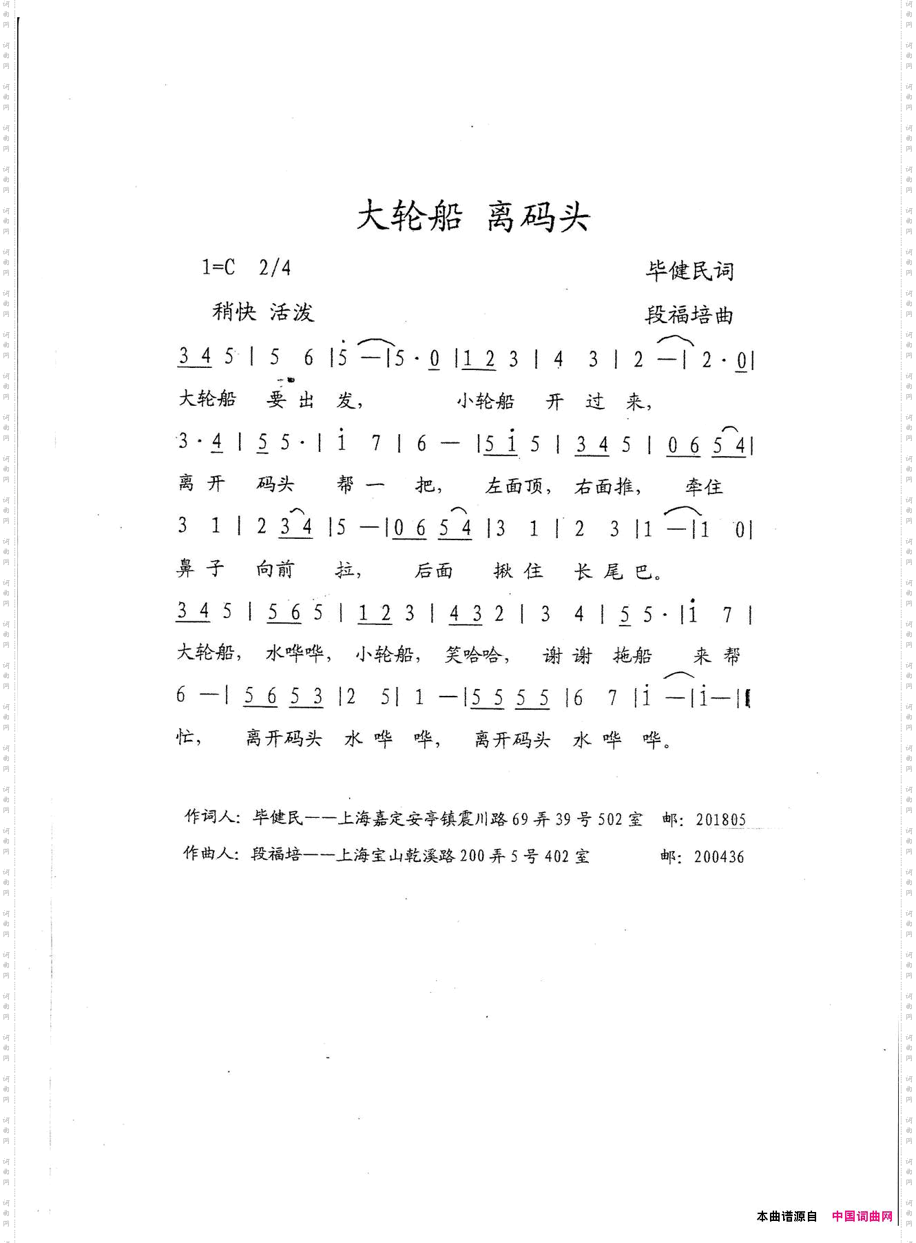
大轮船离码头-大轮船离码头,毕健民,段福培简谱

大轮船离码头

相关话题:大轮船离码头   毕健民   段福培

乐器分类
戏曲专栏
热门话题