首页 > 声乐 > 简谱 / 正文内容_等哥哥-等哥哥,马维维,文文简谱

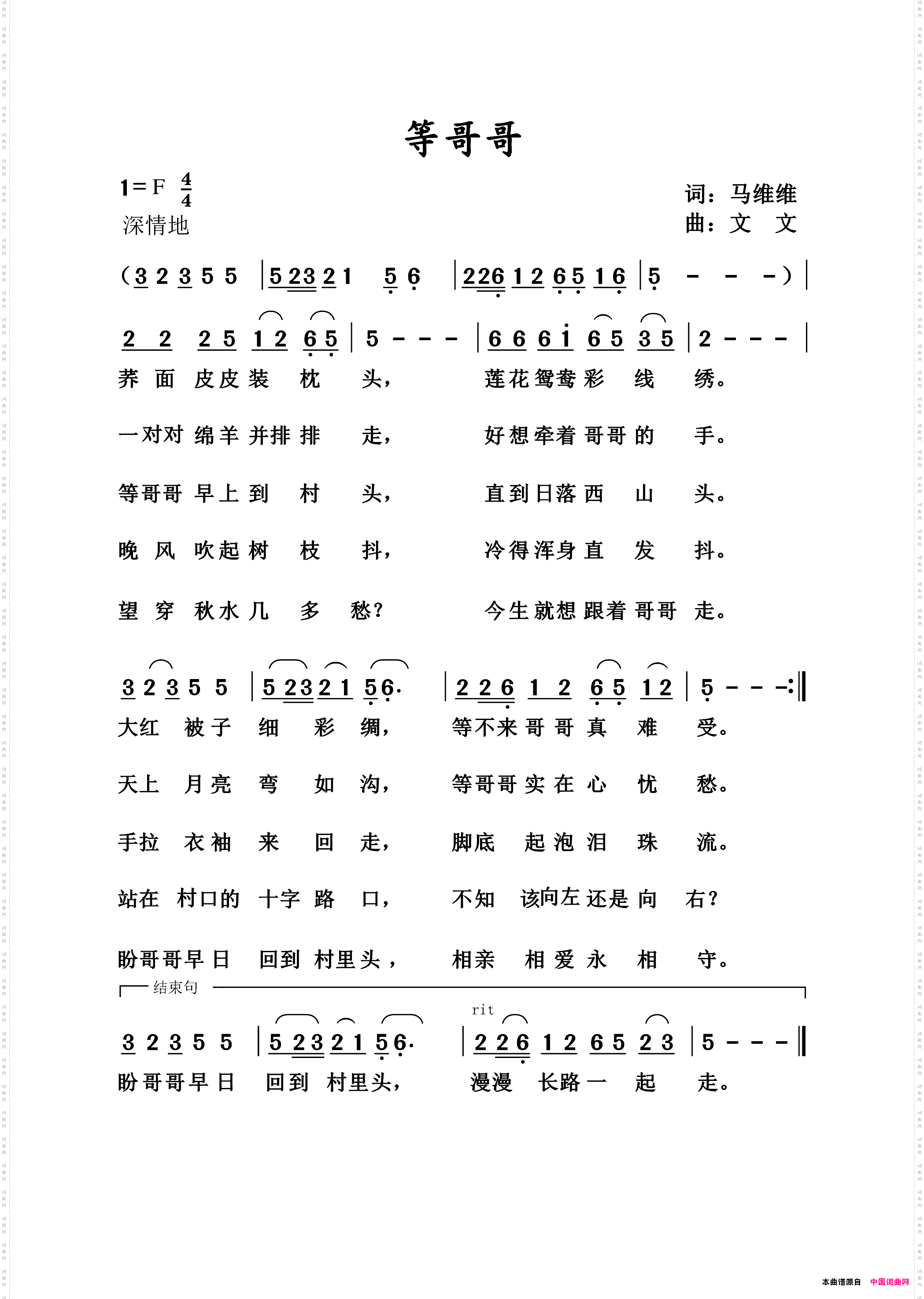
等哥哥-等哥哥,马维维,文文简谱

等哥哥

相关话题:等哥哥   马维维   文文

乐器分类
戏曲专栏
热门话题