首页 > 声乐 > 简谱 / 正文内容_如果我老了-如果我老了,大冰,大冰简谱

如果我老了-如果我老了,大冰,大冰简谱

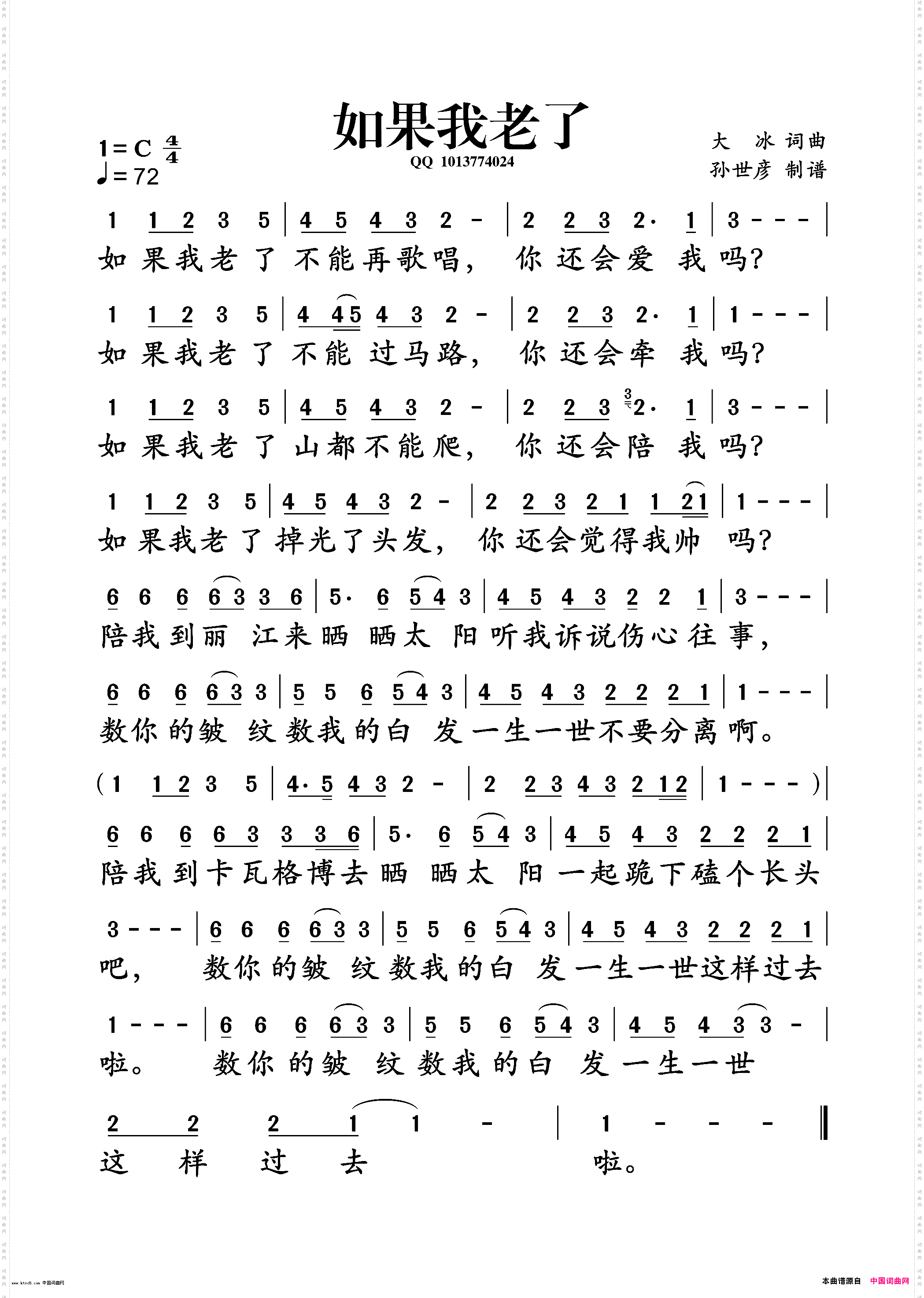
如果我老了

相关话题:如果我老了   大冰   大冰

乐器分类
戏曲专栏
热门话题