首页 > 声乐 > 简谱 / 正文内容_夸咱农村新面貌-邓富荣,邓富荣简谱

夸咱农村新面貌-邓富荣,邓富荣简谱

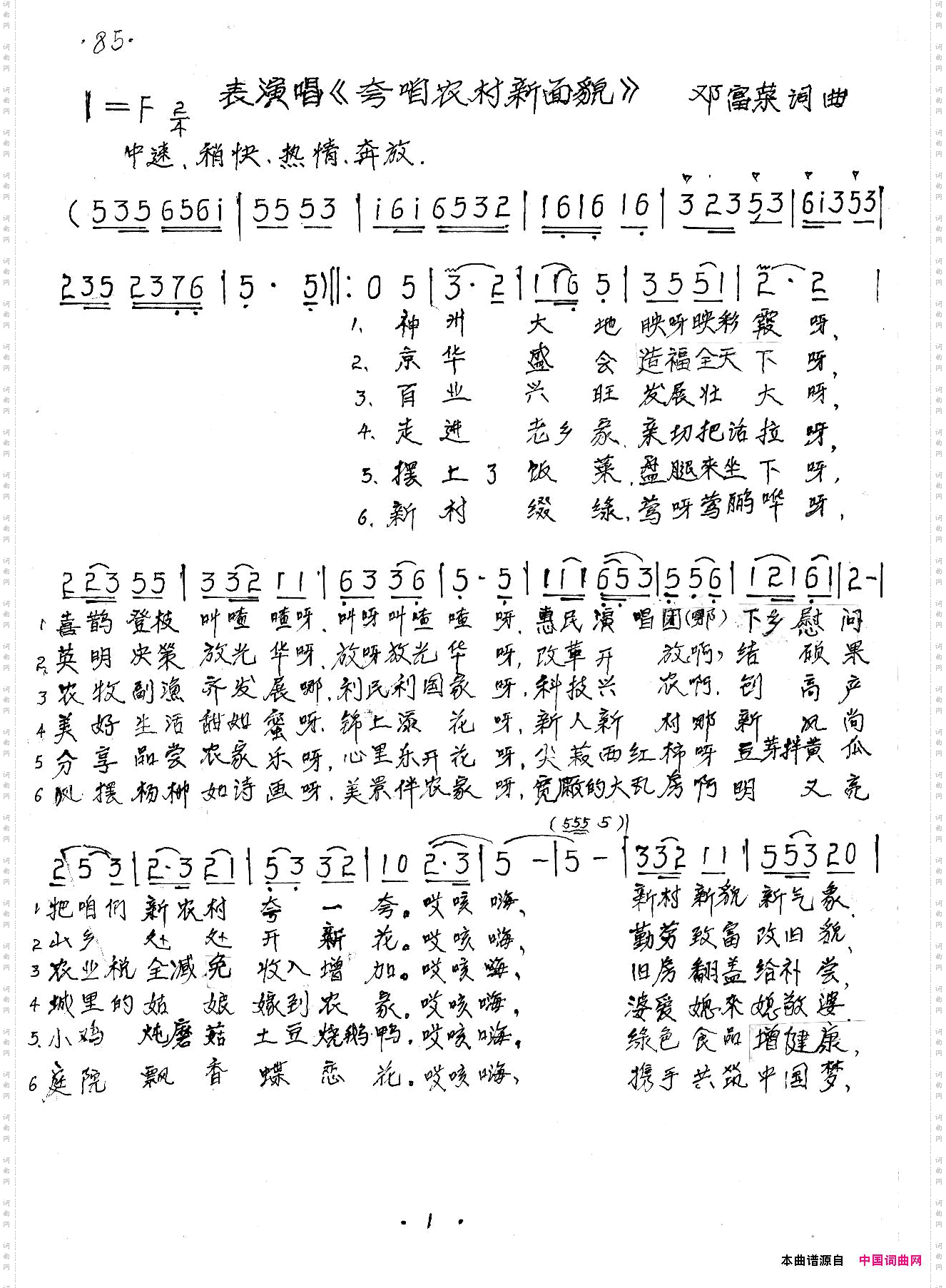
夸咱农村新面貌

夸咱农村新面貌

相关话题:邓富荣   邓富荣

乐器分类
戏曲专栏
热门话题