首页 > 声乐 > 简谱 / 正文内容_芙蓉花-芙蓉花,沈献智,孙元艺简谱

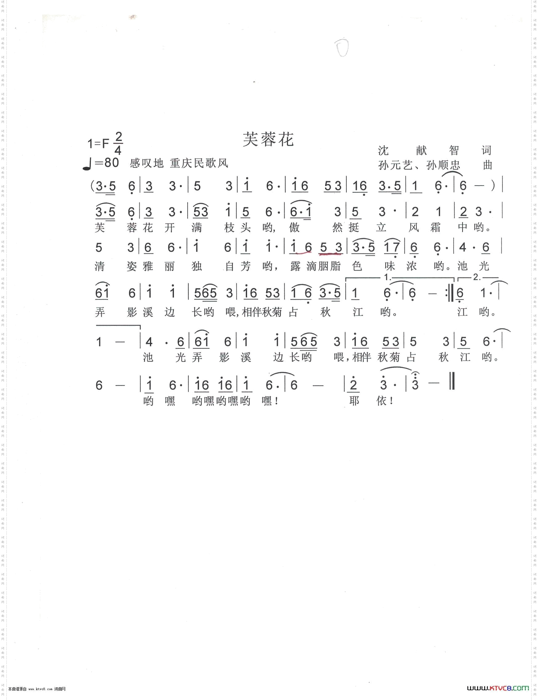
芙蓉花-芙蓉花,沈献智,孙元艺简谱

芙蓉花

相关话题:芙蓉花   沈献智   孙元艺

乐器分类
戏曲专栏
热门话题