首页 > 声乐 > 简谱 / 正文内容_发明创新四部曲-王寒枫,胡袁萍简谱

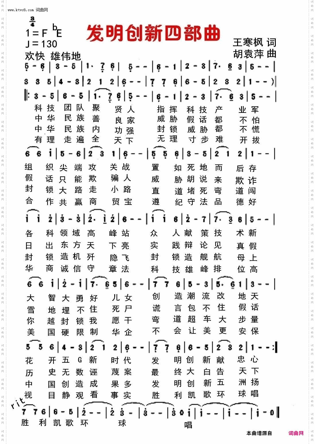
发明创新四部曲-王寒枫,胡袁萍简谱

发明创新四部曲

相关话题:王寒枫   胡袁萍

乐器分类
戏曲专栏
热门话题