首页 > 声乐 > 简谱 / 正文内容_祖国,我们在旗帜下集结-罗平,李基田简谱

祖国,我们在旗帜下集结-罗平,李基田简谱

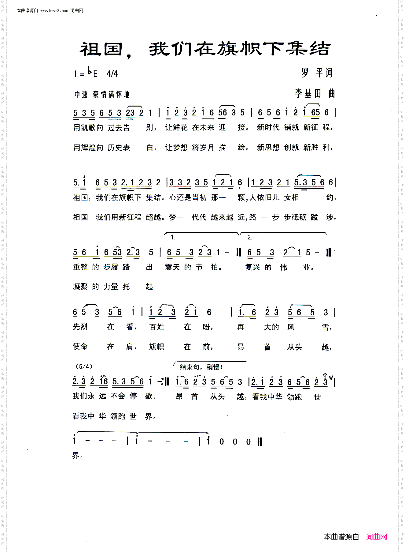
祖国,我们在旗帜下集结

相关话题:罗平   李基田

乐器分类
戏曲专栏
热门话题