首页 > 声乐 > 简谱 / 正文内容_离人愁-离人愁简谱

离人愁-离人愁简谱

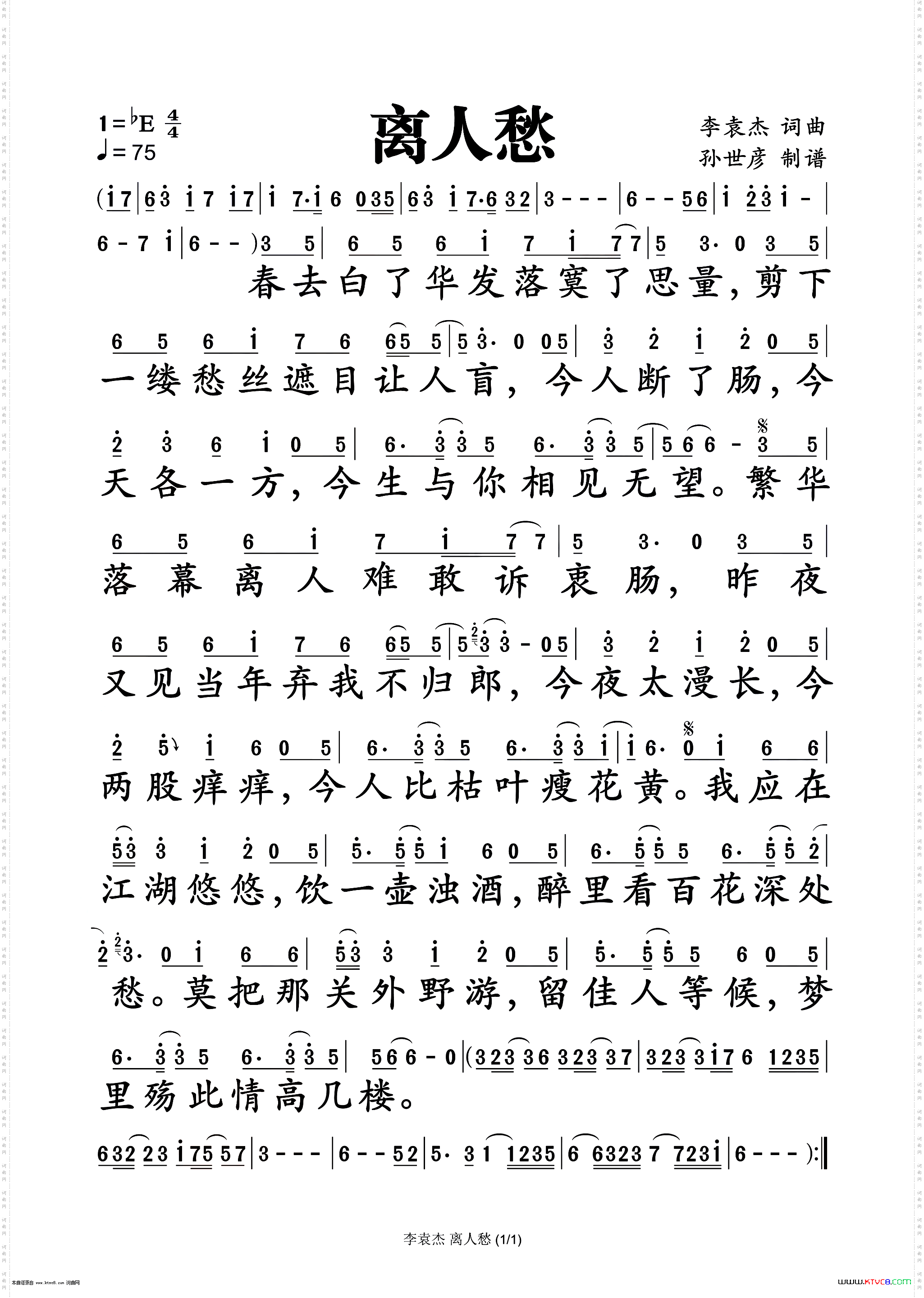
离人愁

相关话题:离人愁

乐器分类
戏曲专栏
热门话题