首页 > 声乐 > 简谱 / 正文内容_忽然之间-忽然之间简谱

忽然之间-忽然之间简谱

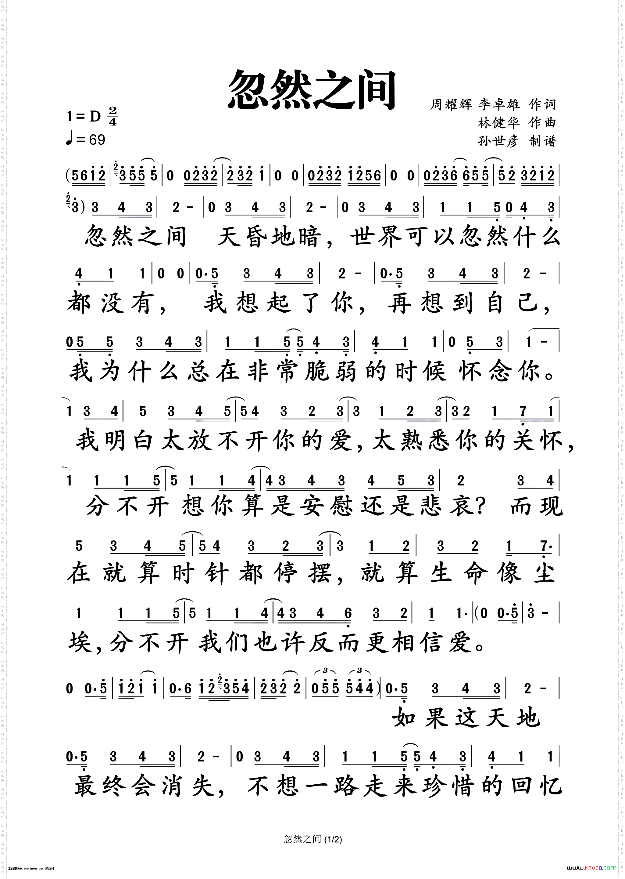
忽然之间

相关话题:忽然之间

乐器分类
戏曲专栏
热门话题