首页 > 声乐 > 简谱 / 正文内容_过云雨-过云雨,伍仲衡,伍仲衡,张敬轩简谱

过云雨-过云雨,伍仲衡,伍仲衡,张敬轩简谱

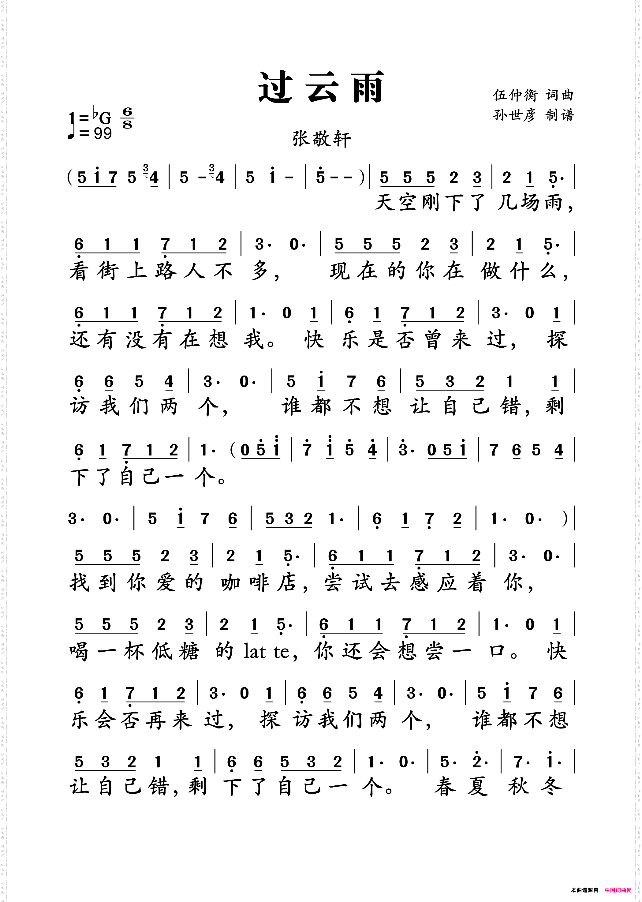
过云雨

过云雨

相关话题:过云雨   伍仲衡   伍仲衡   张敬轩

乐器分类
戏曲专栏
热门话题