首页 > 声乐 > 简谱 / 正文内容_马头琴-马头琴,徐哲,孙淑芹,轻云望月,望海高歌简谱

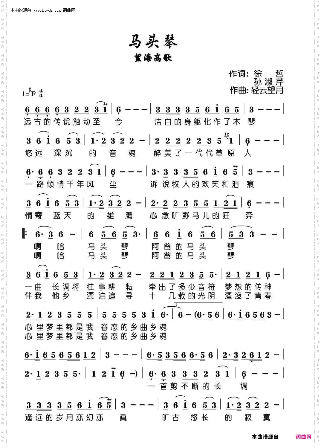
马头琴-马头琴,徐哲,孙淑芹,轻云望月,望海高歌简谱

马头琴

马头琴

相关话题:马头琴   徐哲   孙淑芹   轻云望月   望海高歌

乐器分类
戏曲专栏
热门话题