首页 > 声乐 > 简谱 / 正文内容_planet行星-简谱

planet行星-简谱

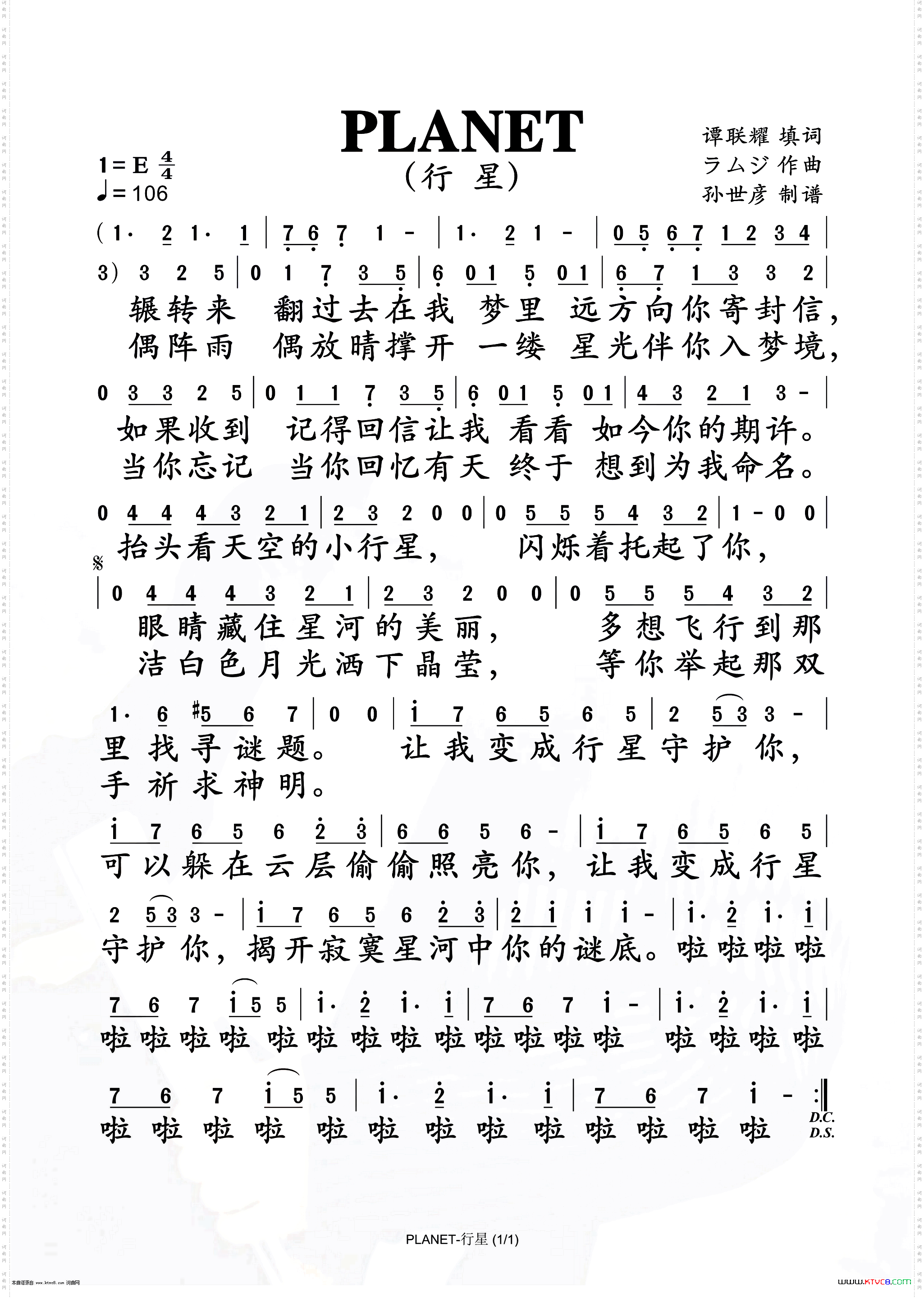
planet行星

相关话题:

猜你喜欢的简谱

    暂无相关信息
乐器分类
戏曲专栏
热门话题