首页 > 声乐 > 简谱 / 正文内容_飞翔吧博文_博文学校校歌-飞翔吧博文,郭黎明,程迎接简谱

飞翔吧博文_博文学校校歌-飞翔吧博文,郭黎明,程迎接简谱

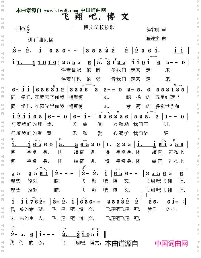
飞翔吧博文_博文学校校歌

相关话题:飞翔吧博文   郭黎明   程迎接

乐器分类
戏曲专栏
热门话题