首页 > 声乐 > 简谱 / 正文内容_小朋友,上学校-傅春辉,马志宏,杨娟,蓝天航,胡中月简谱

小朋友,上学校-傅春辉,马志宏,杨娟,蓝天航,胡中月简谱

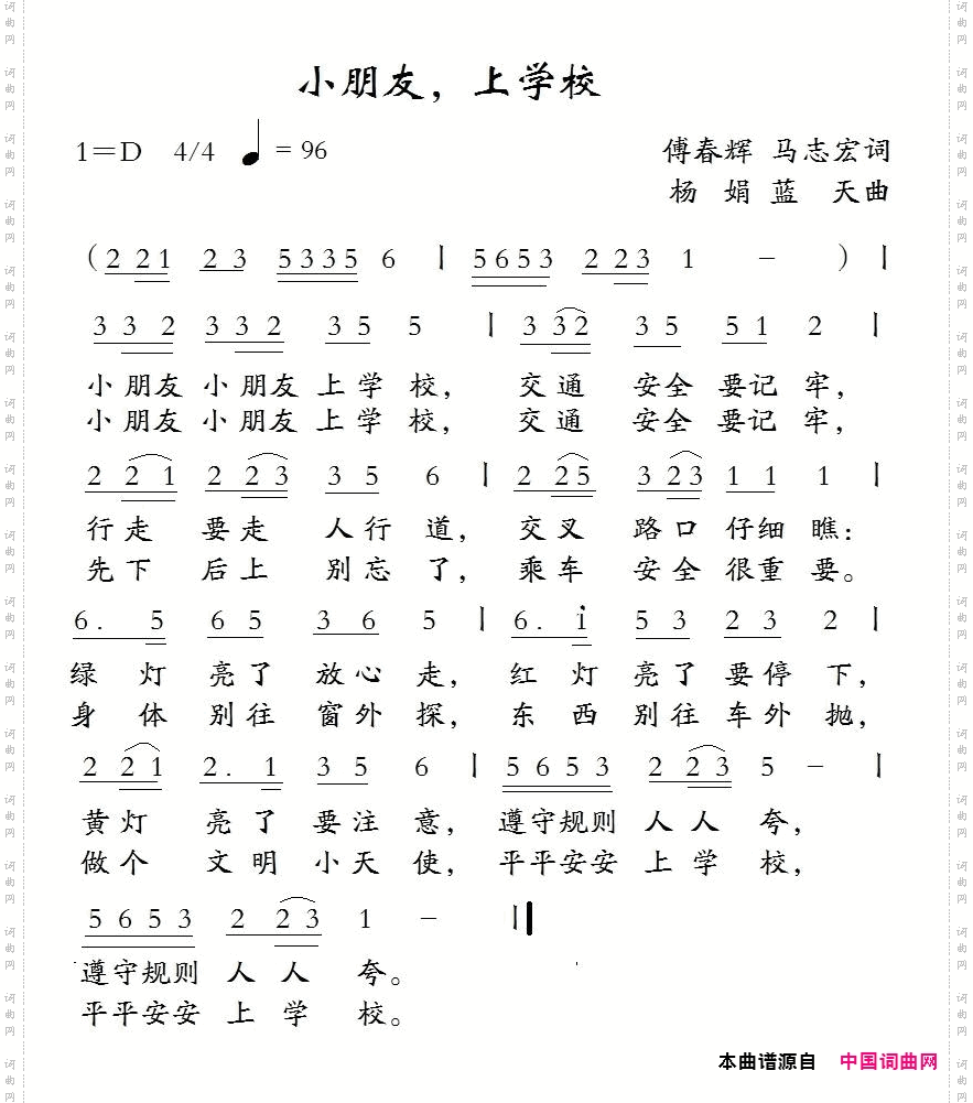
小朋友,上学校

相关话题:傅春辉   马志宏   杨娟   蓝天航   胡中月

乐器分类
戏曲专栏
热门话题