首页 > 声乐 > 简谱 / 正文内容_中国空姐-中国空姐,幸天游,王兆君,赵福林简谱

中国空姐-中国空姐,幸天游,王兆君,赵福林简谱

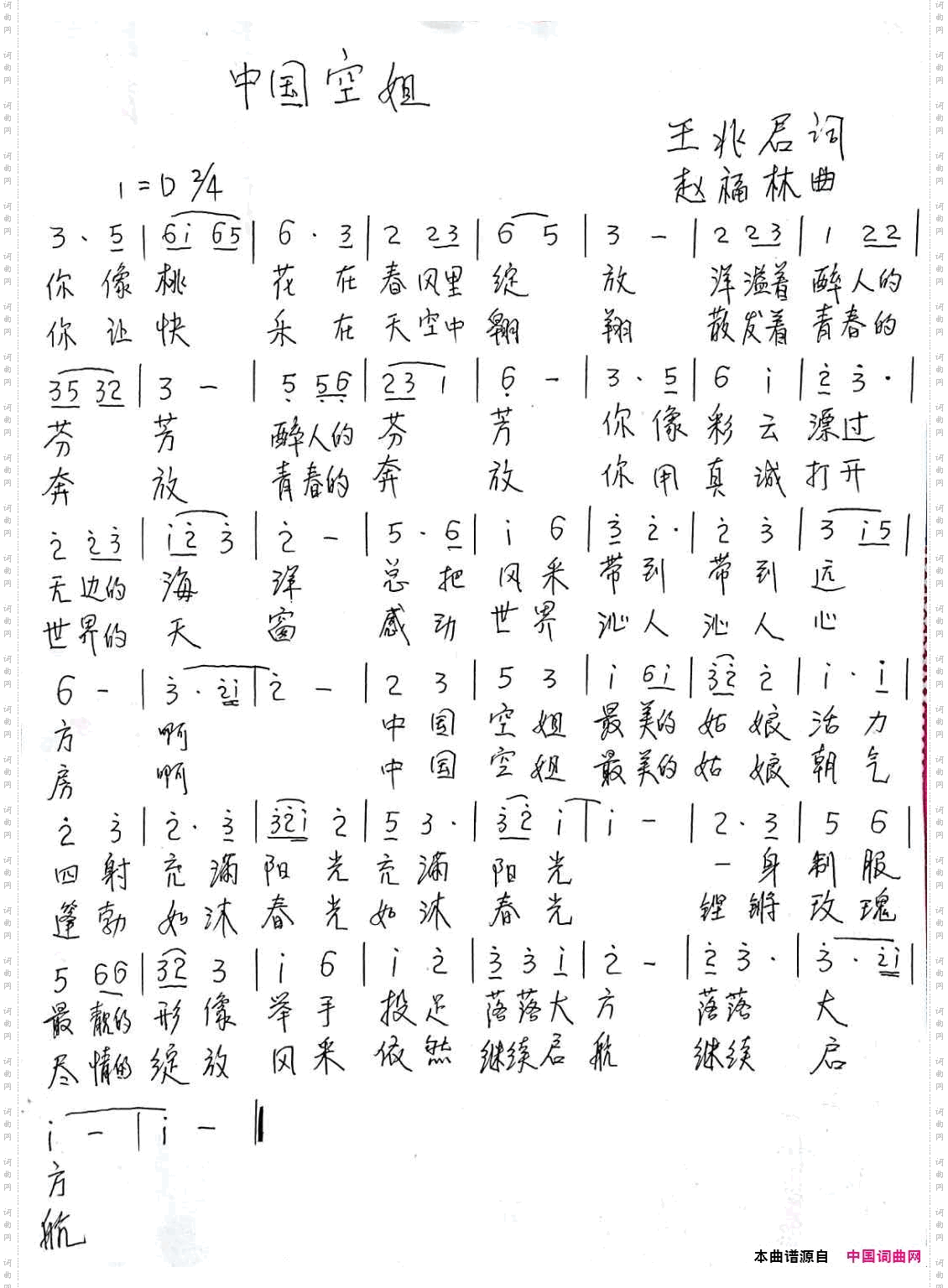
中国空姐

相关话题:中国空姐   幸天游   王兆君   赵福林

乐器分类
戏曲专栏
热门话题