首页 > 声乐 > 简谱 / 正文内容_故人不散-故人不散简谱

故人不散-故人不散简谱

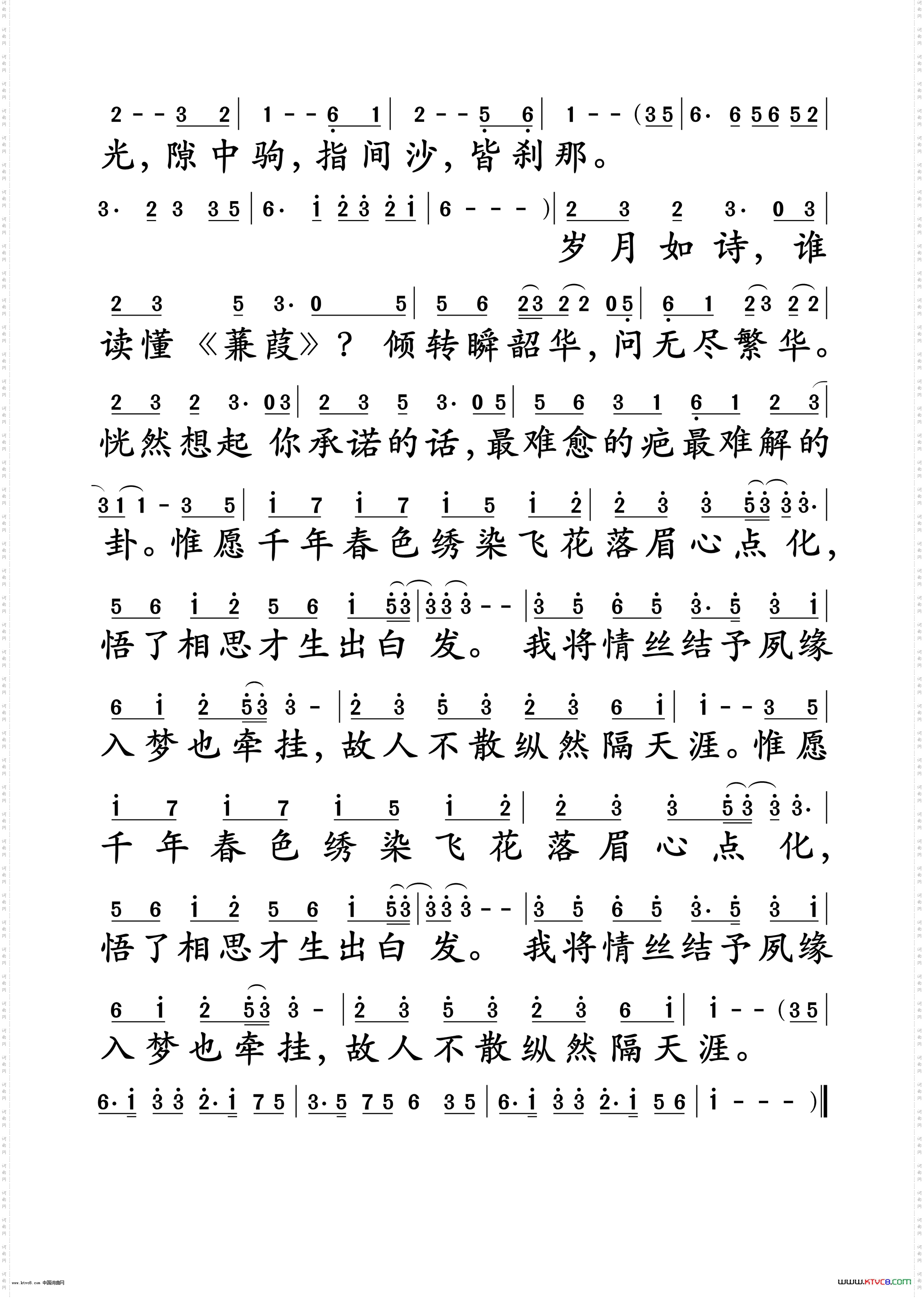
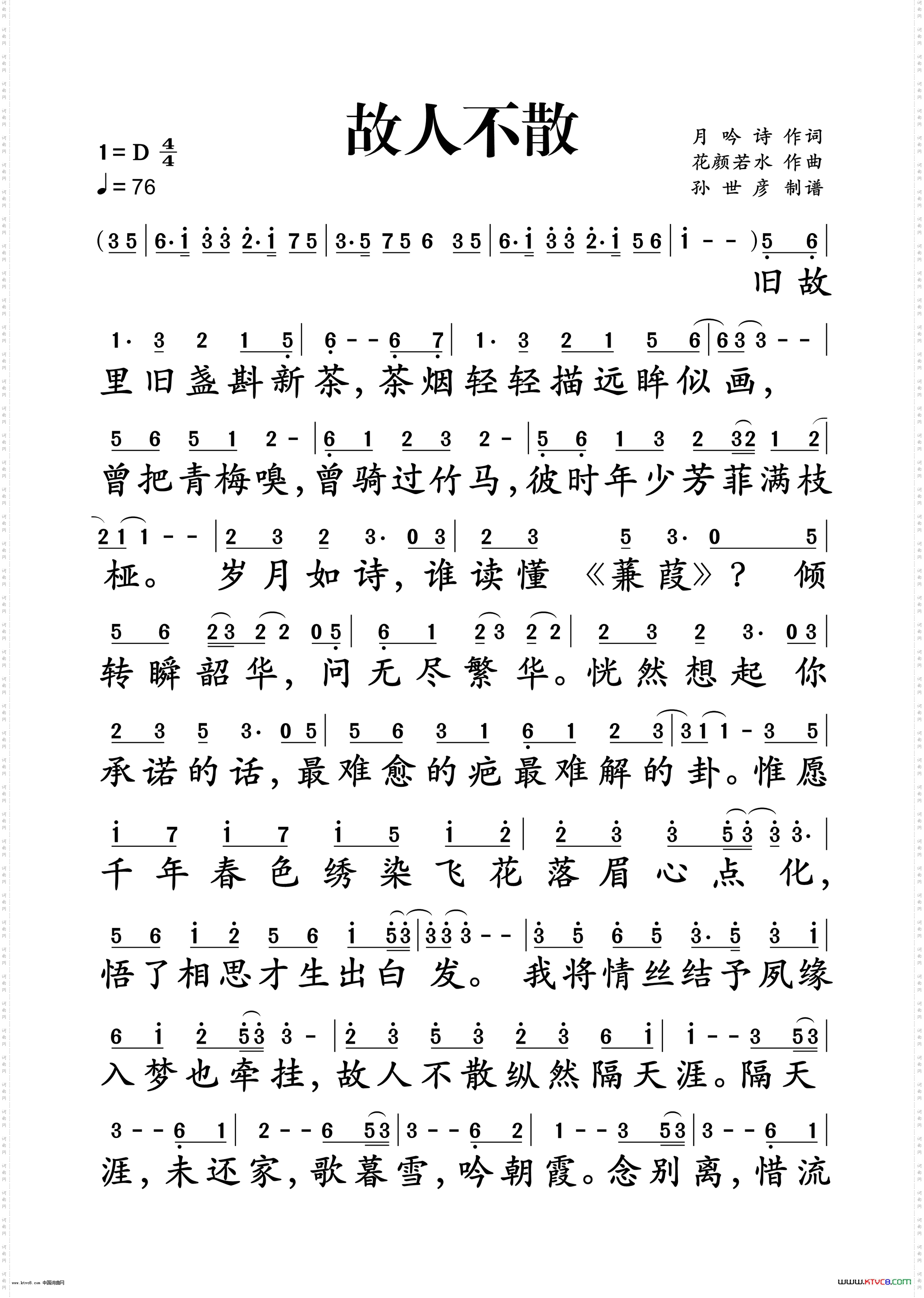
故人不散

故人不散

相关话题:故人不散

猜你喜欢的简谱

乐器分类
戏曲专栏
热门话题