首页 > 声乐 > 简谱 / 正文内容_38度6-38度6,黑龙简谱

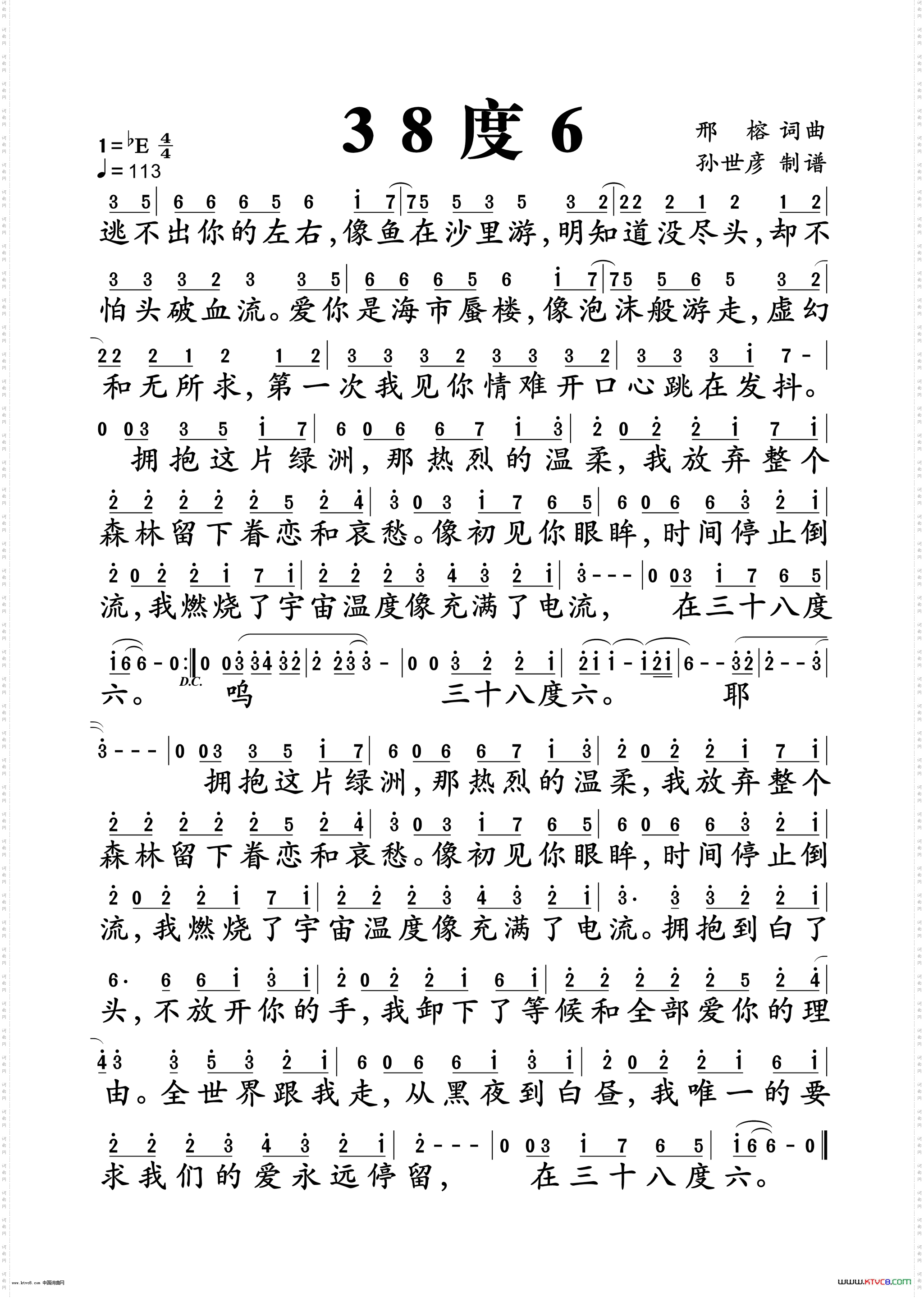
38度6-38度6,黑龙简谱

38度6

相关话题:38度6   黑龙

乐器分类
戏曲专栏
热门话题