首页 > 声乐 > 简谱 / 正文内容_北京东路的日子-简谱

北京东路的日子-简谱

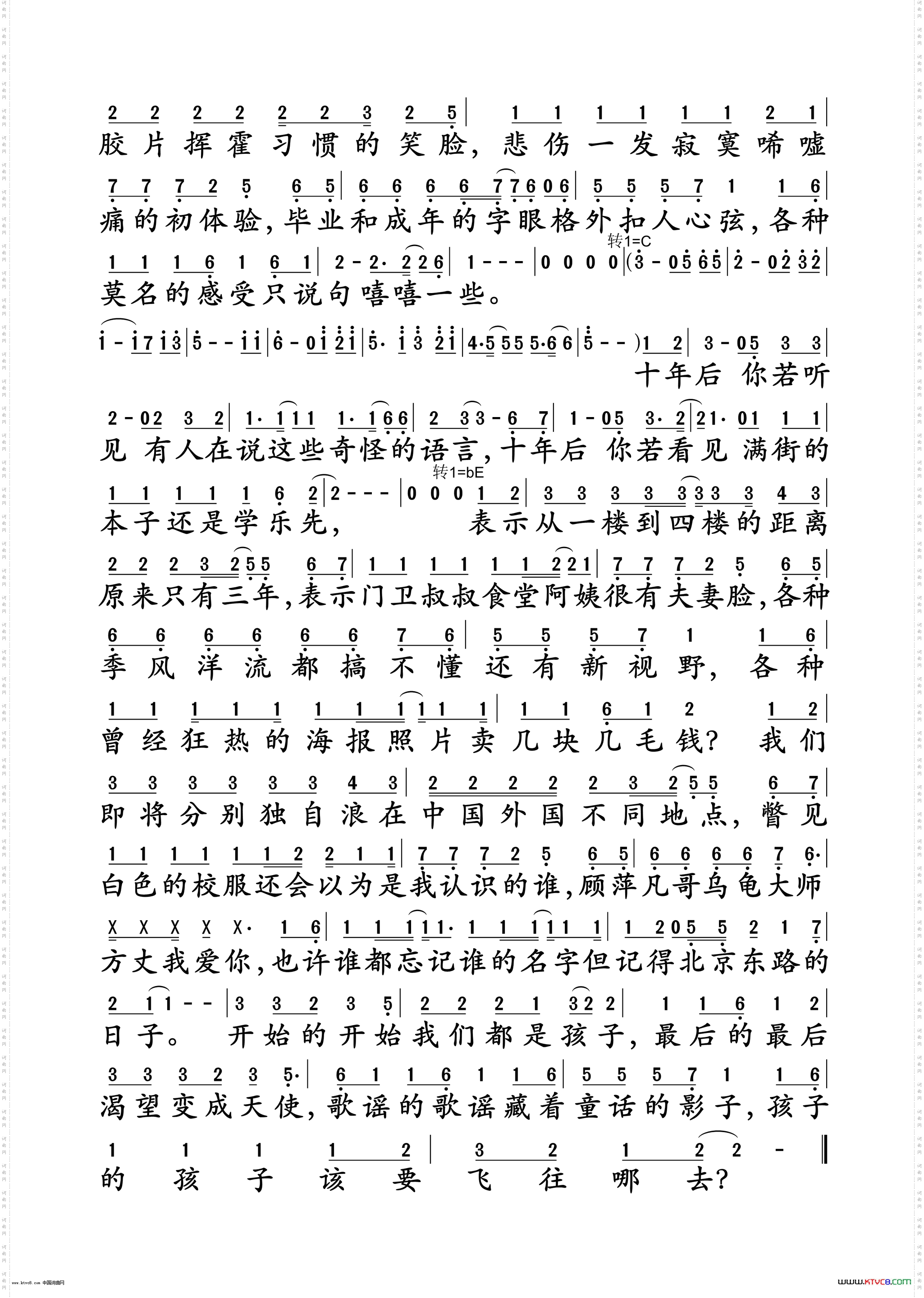
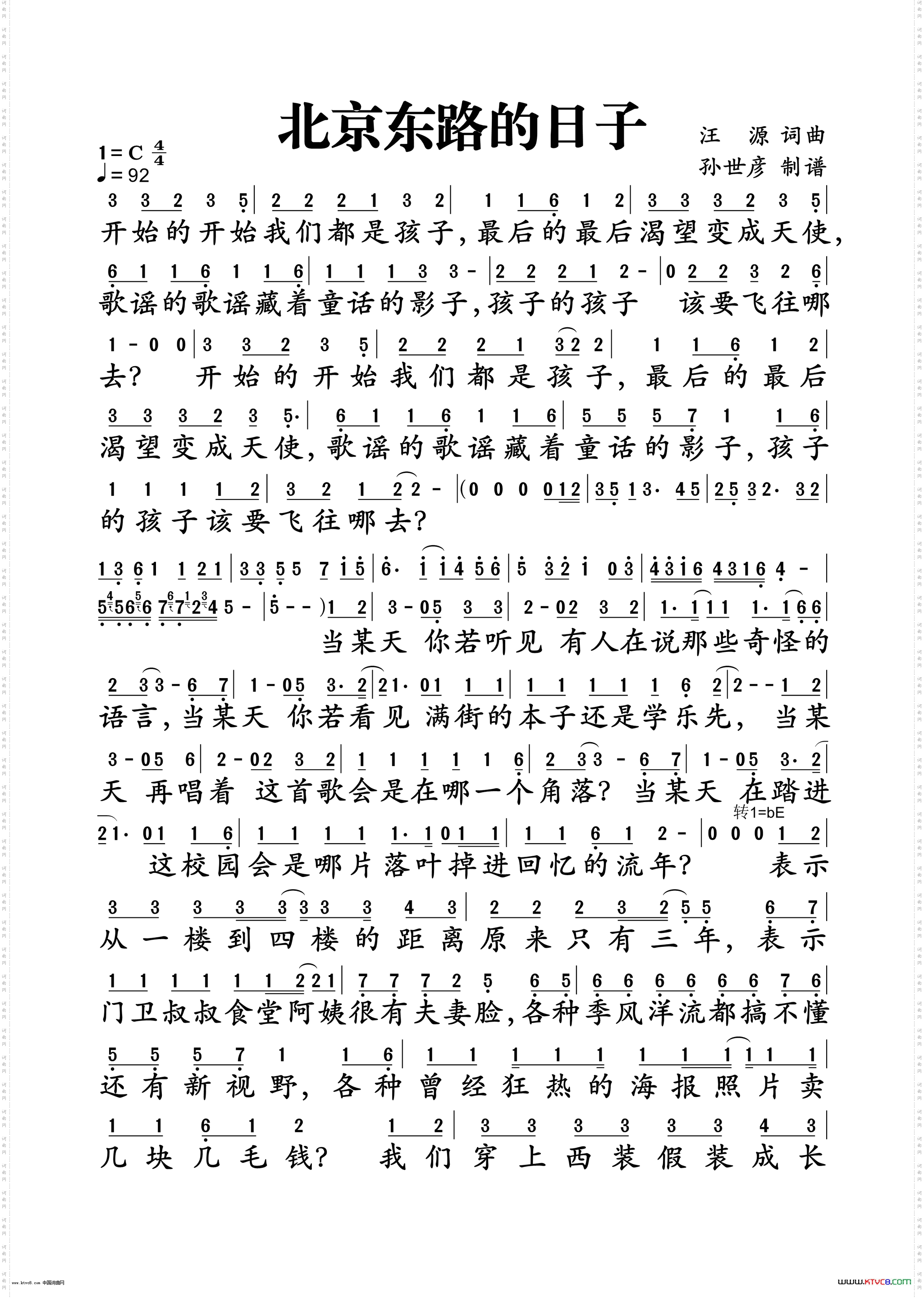
北京东路的日子

北京东路的日子

相关话题:

猜你喜欢的简谱

    暂无相关信息
乐器分类
戏曲专栏
热门话题