首页 > 声乐 > 简谱 / 正文内容_落-落,艾辰简谱

落-落,艾辰简谱

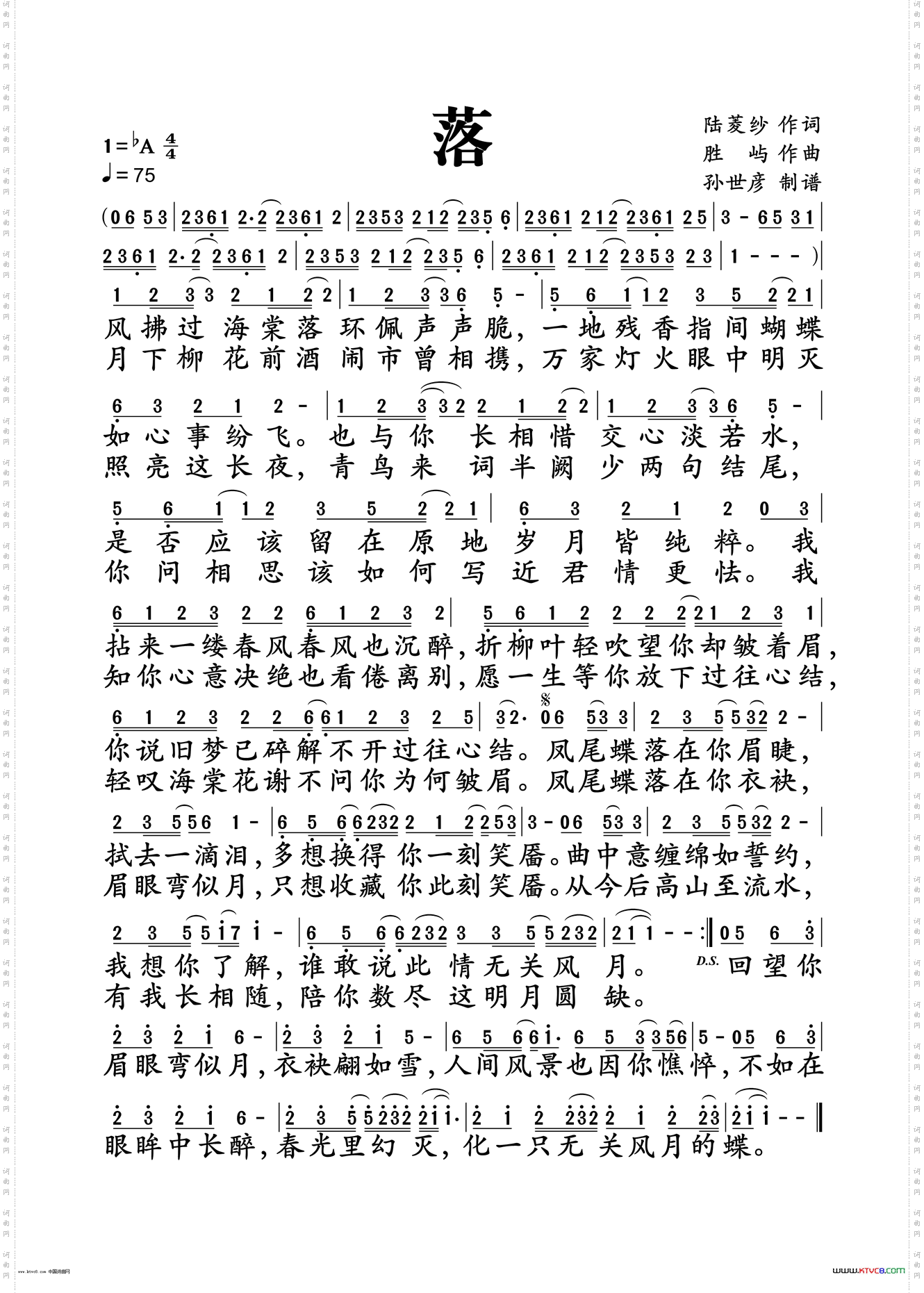
落

相关话题:   艾辰

乐器分类
戏曲专栏
热门话题