首页 > 声乐 > 简谱 / 正文内容_春天的歌-春天的歌,许镜清,李基田简谱

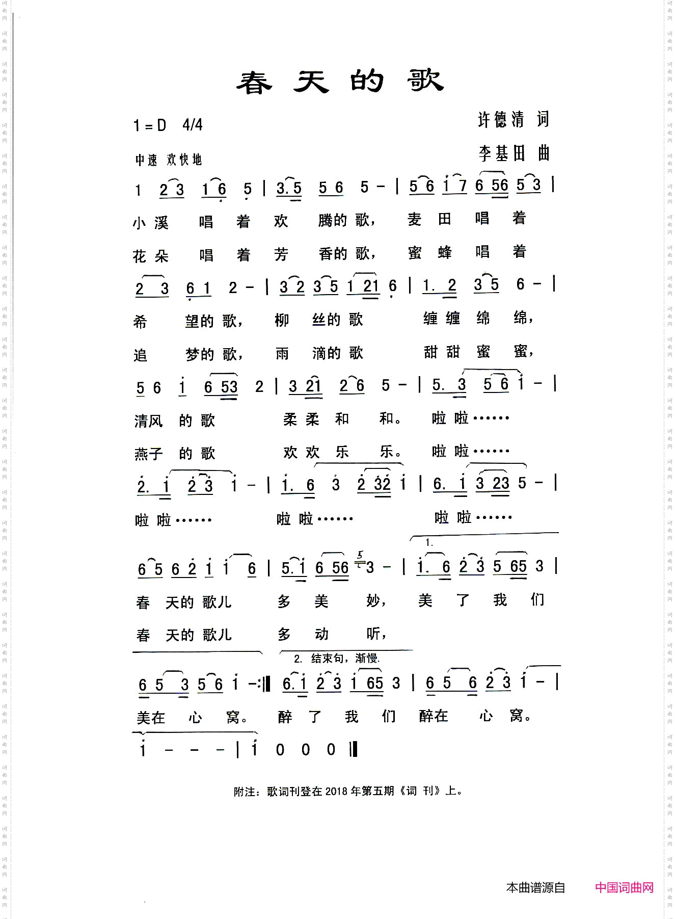
春天的歌-春天的歌,许镜清,李基田简谱

春天的歌

相关话题:春天的歌   许镜清   李基田

乐器分类
戏曲专栏
热门话题