首页 > 声乐 > 简谱 / 正文内容_武夷山情歌-武夷山情歌,沈献智,柴天麟简谱

武夷山情歌-武夷山情歌,沈献智,柴天麟简谱

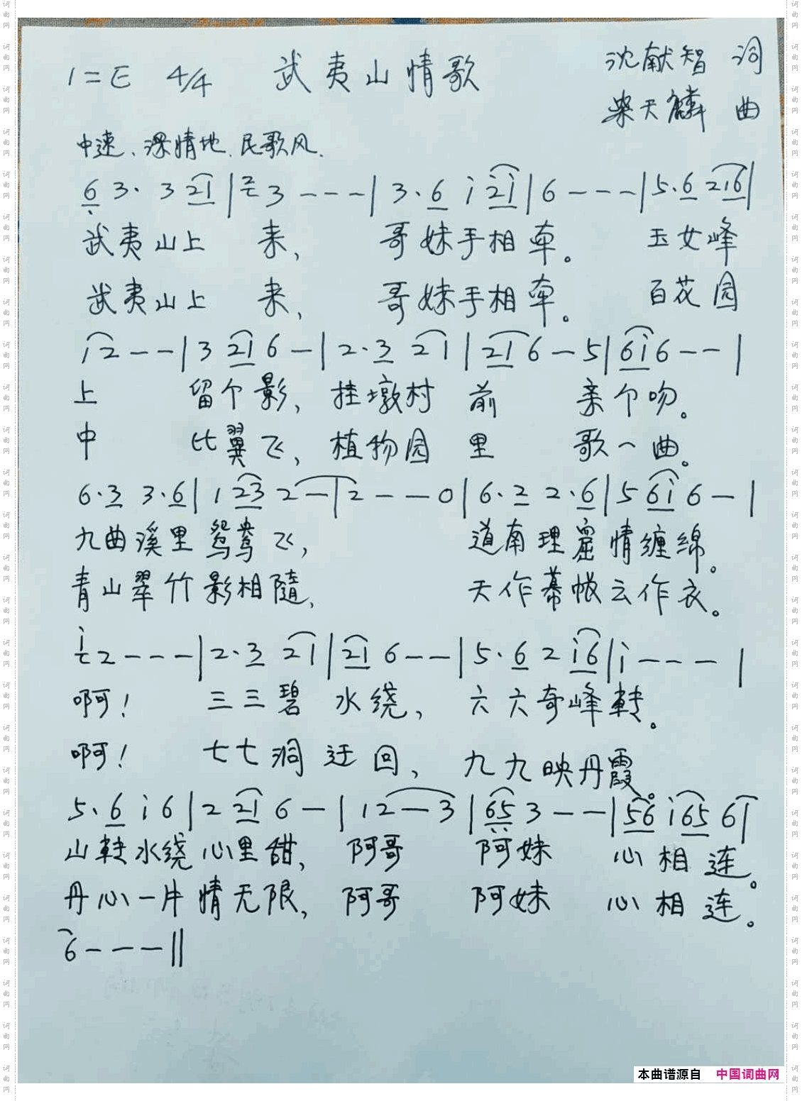
武夷山情歌

相关话题:武夷山情歌   沈献智   柴天麟

乐器分类
戏曲专栏
热门话题