首页 > 声乐 > 简谱 / 正文内容_无情画-无情画,王呈章,徐林,王呈章简谱

无情画-无情画,王呈章,徐林,王呈章简谱

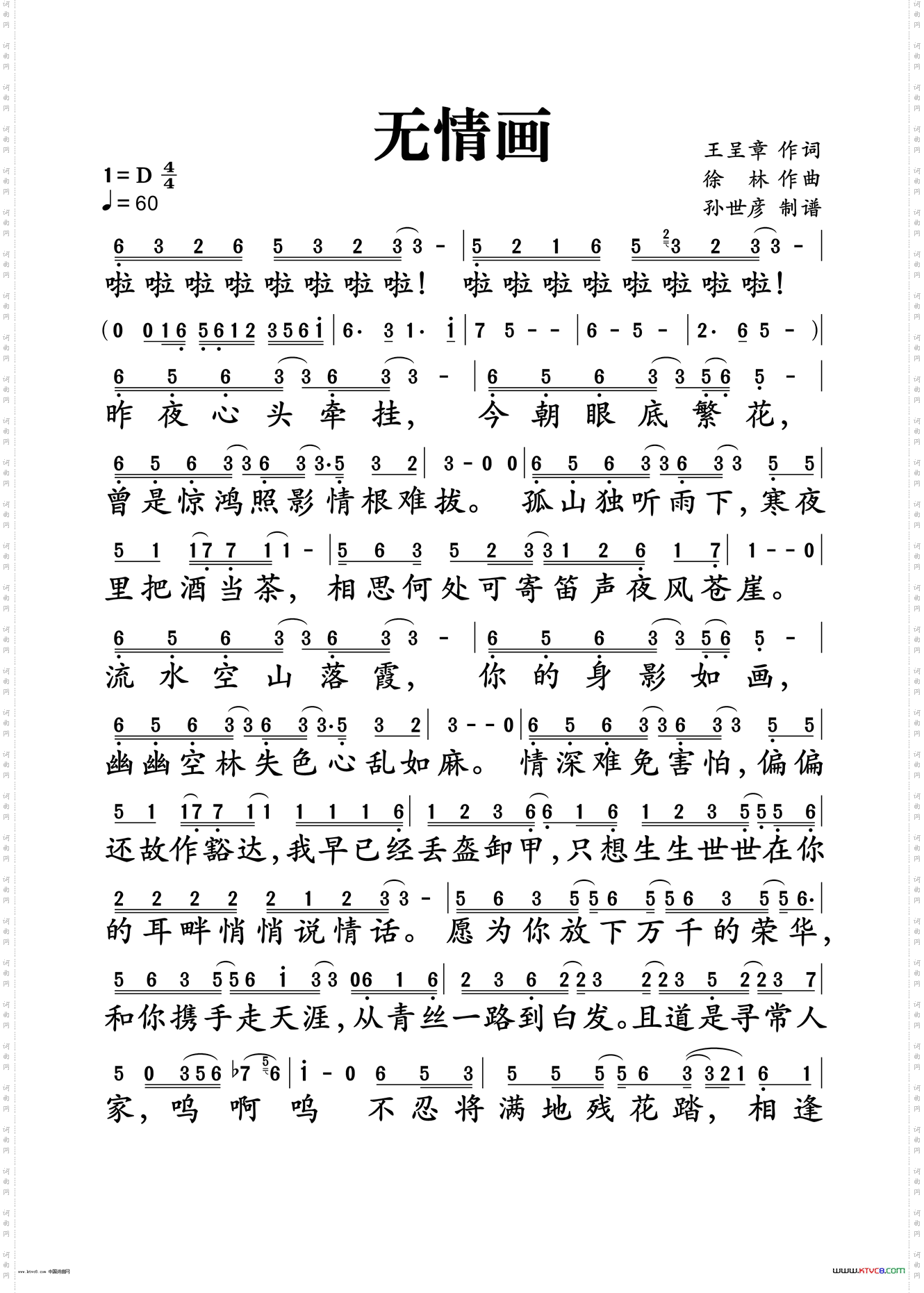
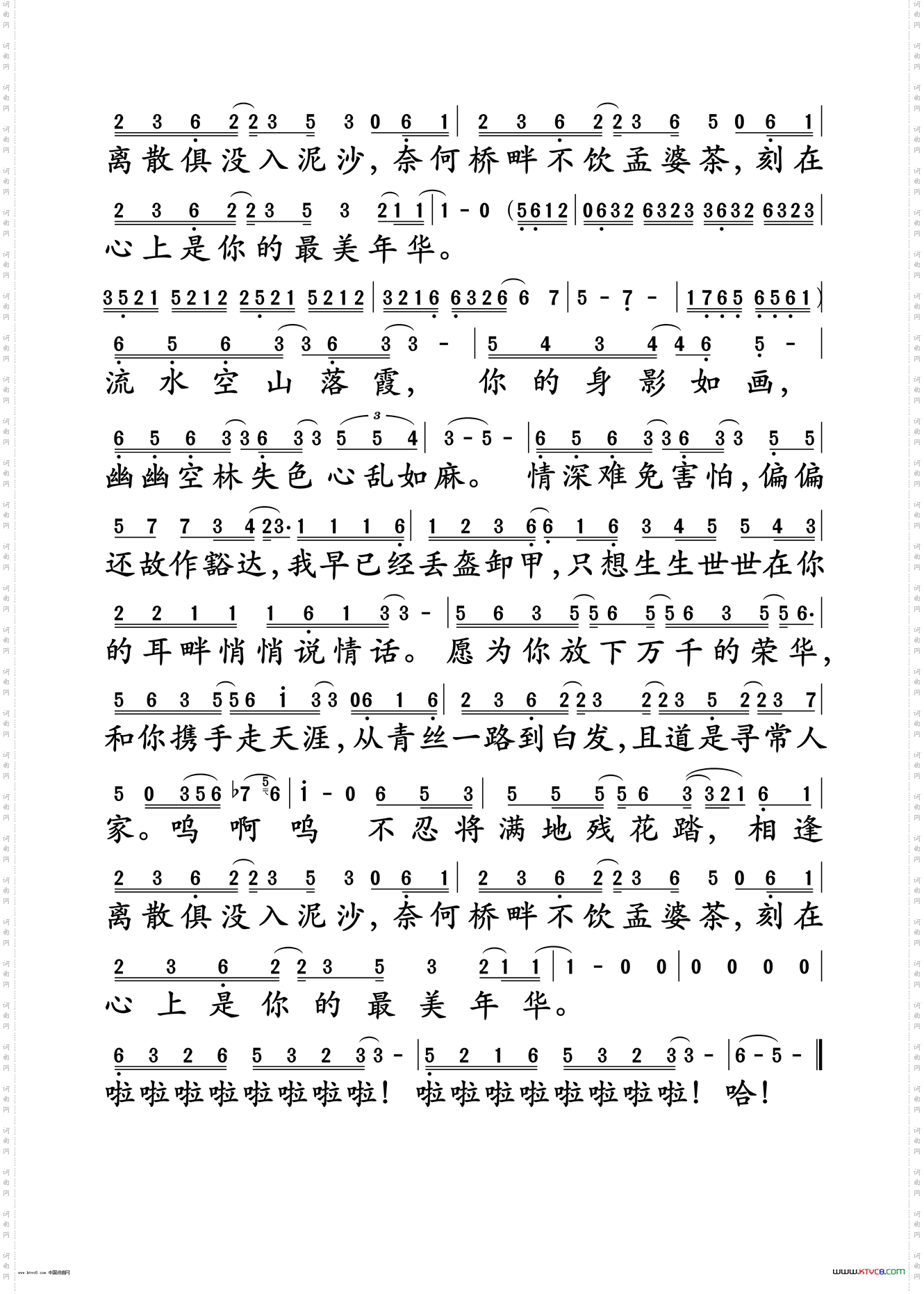
无情画

无情画

相关话题:无情画   王呈章   徐林   王呈章

乐器分类
戏曲专栏
热门话题