首页 > 声乐 > 简谱 / 正文内容_碧玉清溪织彩绸-郑永柱,周治国简谱

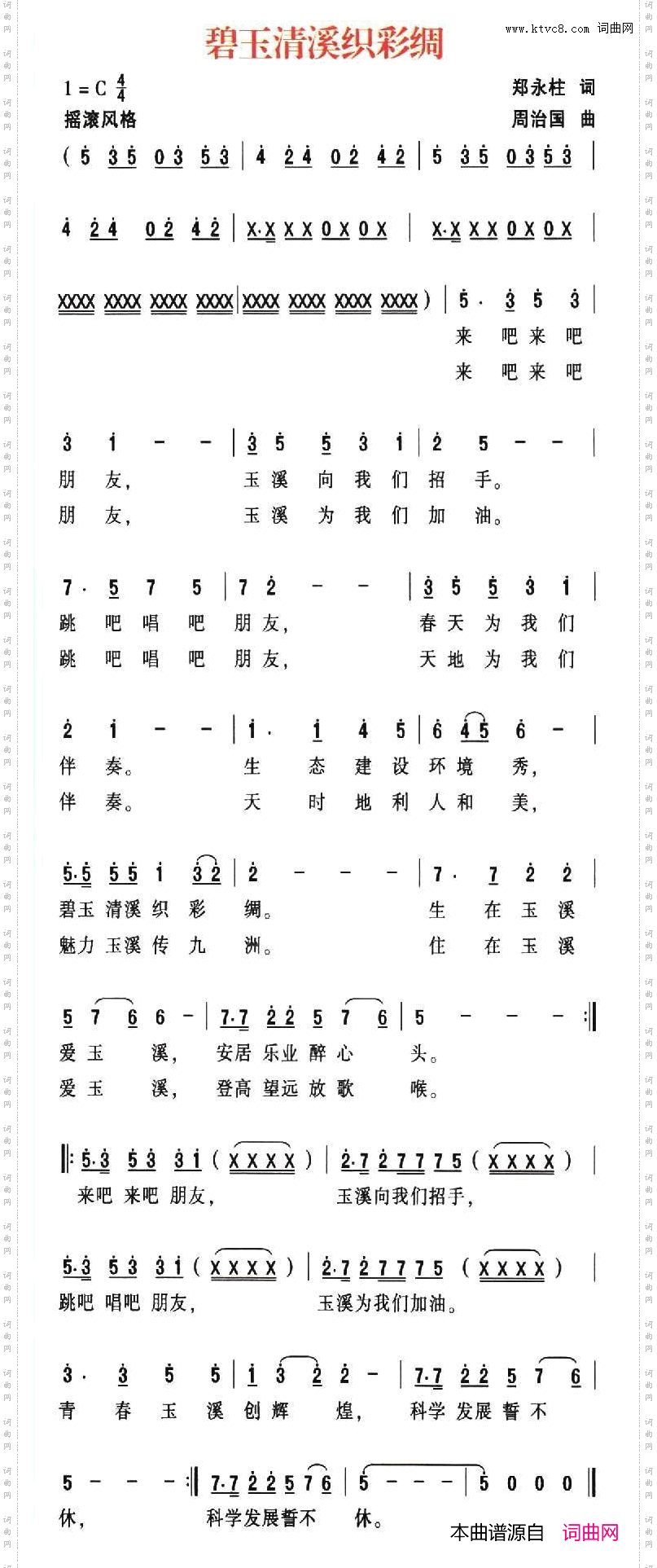
碧玉清溪织彩绸-郑永柱,周治国简谱

碧玉清溪织彩绸

相关话题:郑永柱   周治国

猜你喜欢的简谱

    暂无相关信息
乐器分类
戏曲专栏
热门话题