首页 > 声乐 > 简谱 / 正文内容_相亲相爱一辈子-徐誉滕,徐誉滕,徐誉滕,罗宾,徐誉滕简谱

相亲相爱一辈子-徐誉滕,徐誉滕,徐誉滕,罗宾,徐誉滕简谱

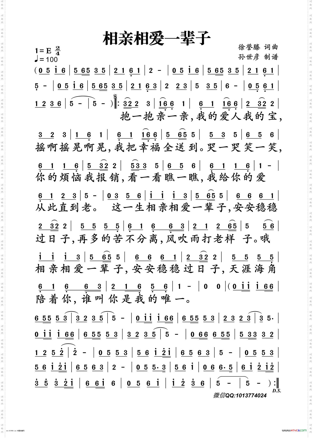
相亲相爱一辈子

相关话题:徐誉滕   徐誉滕   徐誉滕   罗宾   徐誉滕

乐器分类
戏曲专栏
热门话题