首页 > 声乐 > 简谱 / 正文内容_我在春天等着你-徐誉滕,徐誉滕,徐誉滕,徐誉滕简谱

我在春天等着你-徐誉滕,徐誉滕,徐誉滕,徐誉滕简谱

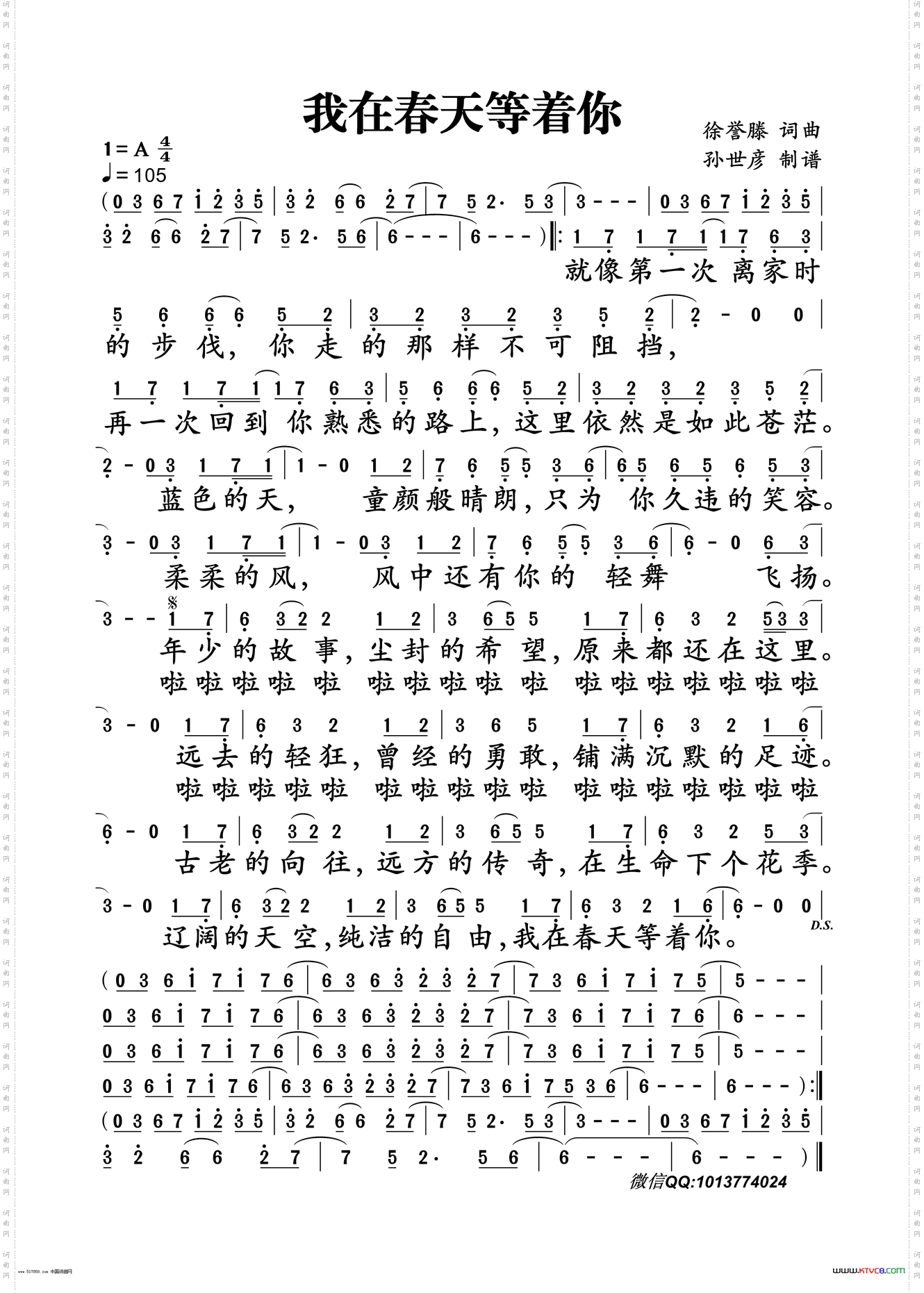
我在春天等着你

相关话题:徐誉滕   徐誉滕   徐誉滕   徐誉滕

乐器分类
戏曲专栏
热门话题