首页 > 声乐 > 简谱 / 正文内容_陕北是个好地方-郑维忠,郑维忠简谱

陕北是个好地方-郑维忠,郑维忠简谱

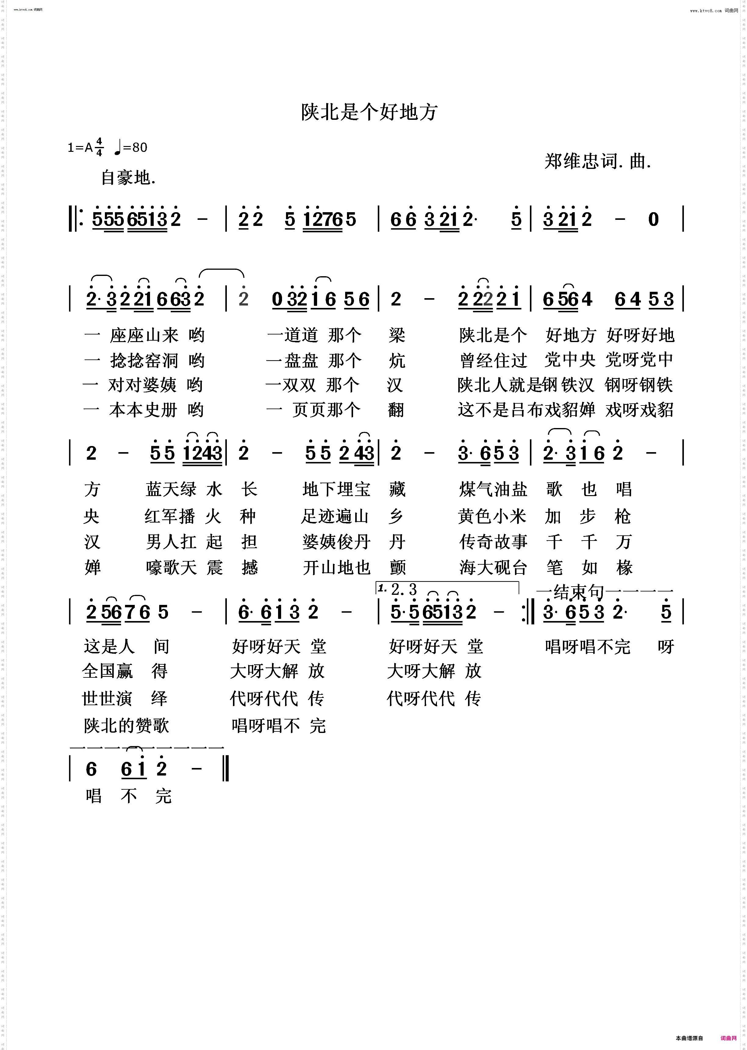
陕北是个好地方

相关话题:郑维忠   郑维忠

乐器分类
戏曲专栏
热门话题