首页 > 声乐 > 简谱 / 正文内容_早晨,我们迎着太阳走_李瑞梅臧辉先联唱-李艳华,臧辉先,臧奔流,王心田,捕鱼者,臧辉先,李瑞梅,李繁花,李瑞梅,李艳华简谱

早晨,我们迎着太阳走_李瑞梅臧辉先联唱-李艳华,臧辉先,臧奔流,王心田,捕鱼者,臧辉先,李瑞梅,李繁花,李瑞梅,李艳华简谱

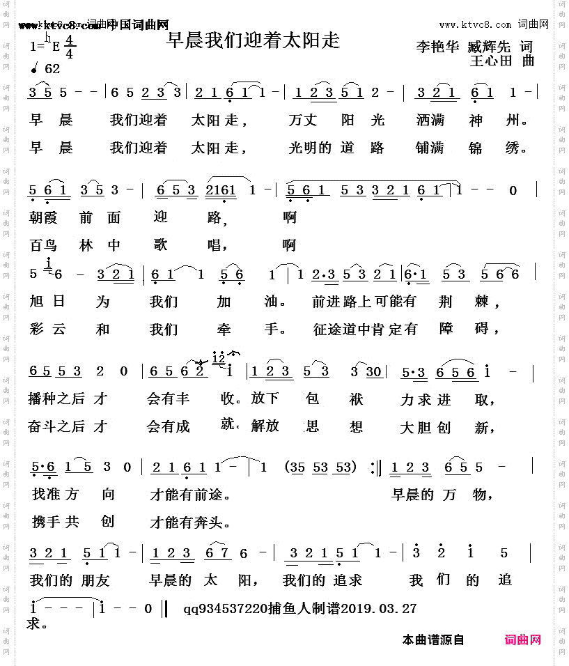
早晨,我们迎着太阳走_李瑞梅臧辉先联唱

早晨,我们迎着太阳走_李瑞梅臧辉先联唱

相关话题:李艳华   臧辉先   臧奔流   王心田   捕鱼者   臧辉先   李瑞梅   李繁花   李瑞梅   李艳华

乐器分类
戏曲专栏
热门话题