首页 > 声乐 > 简谱 / 正文内容_歌唱《小学生守则》-程逸汝,颂今简谱

歌唱《小学生守则》-程逸汝,颂今简谱

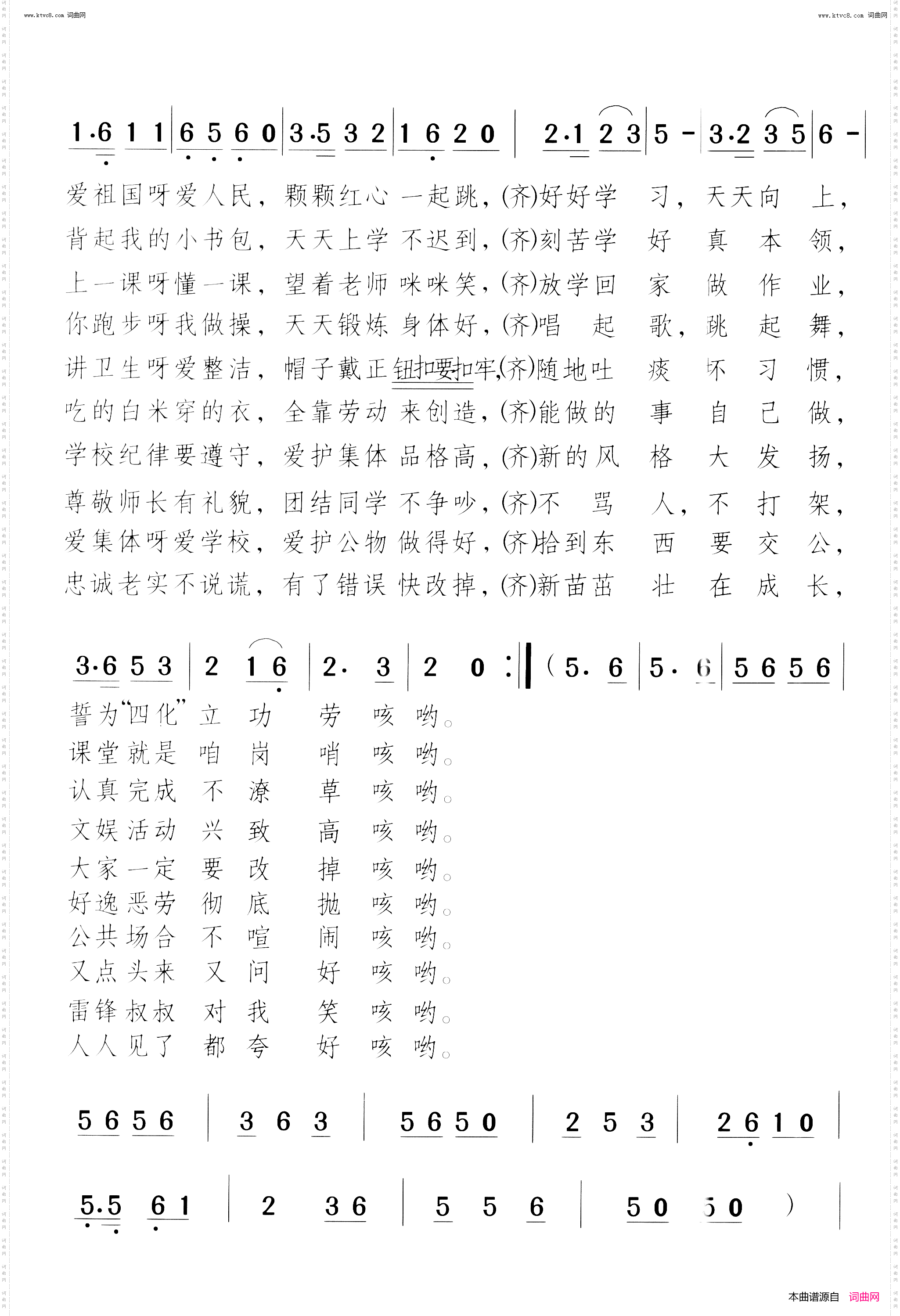
歌唱《小学生守则》

歌唱《小学生守则》

歌唱《小学生守则》

歌唱《小学生守则》

相关话题:程逸汝   颂今

乐器分类
戏曲专栏
热门话题