首页 > 声乐 > 简谱 / 正文内容_等你-等你,宋小明,张千一,王宏伟简谱

等你-等你,宋小明,张千一,王宏伟简谱

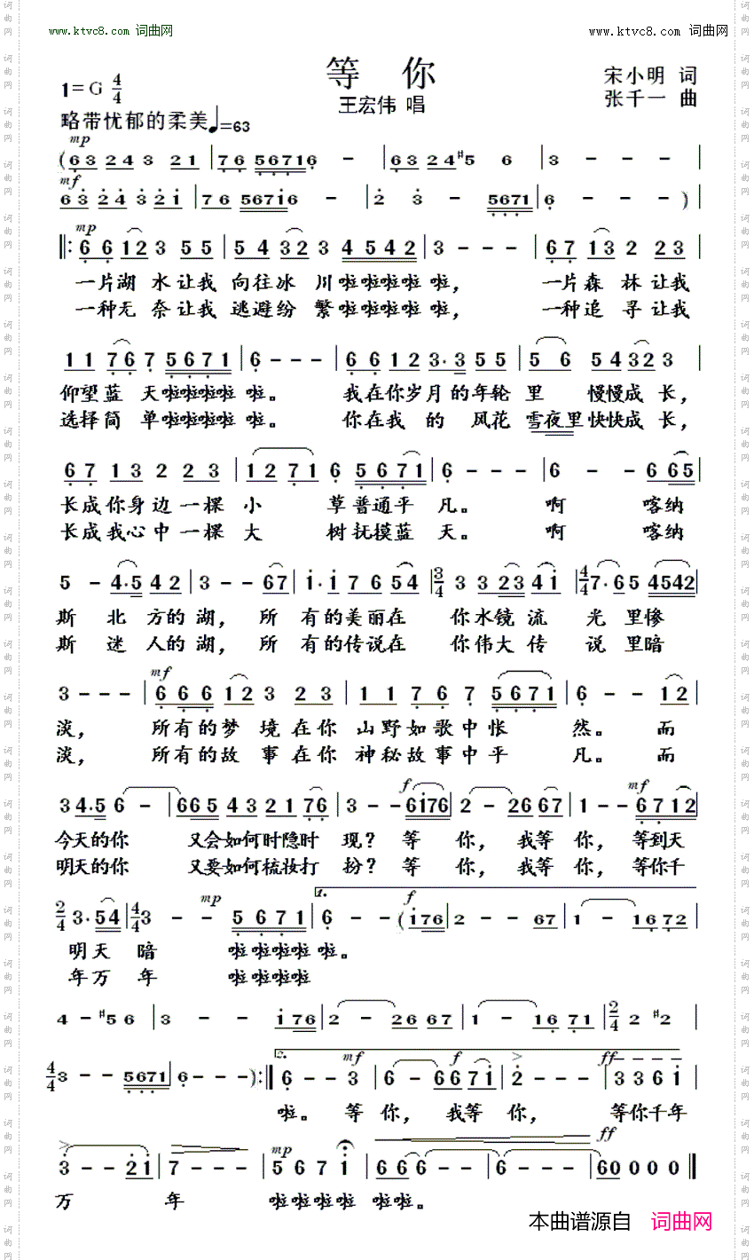
等你

相关话题:等你   宋小明   张千一   王宏伟

乐器分类
戏曲专栏
热门话题