首页 > 声乐 > 简谱 / 正文内容_美美与共-美美与共,陈伟,闫益庚简谱

美美与共-美美与共,陈伟,闫益庚简谱

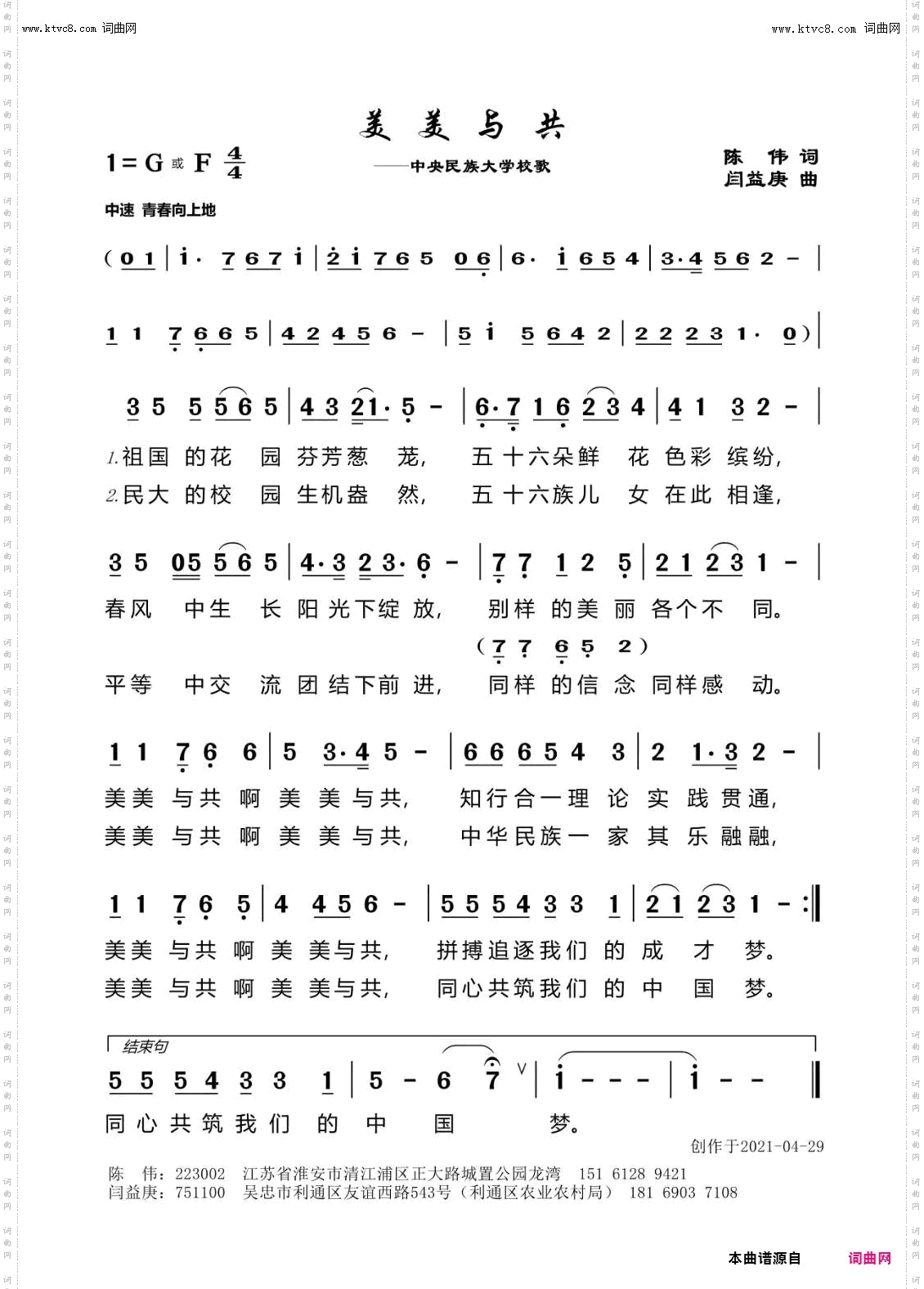
美美与共

相关话题:美美与共   陈伟   闫益庚

乐器分类
戏曲专栏
热门话题