首页 > 声乐 > 简谱 / 正文内容_老兵不老-老兵不老,田井军,闫子恒简谱

老兵不老-老兵不老,田井军,闫子恒简谱

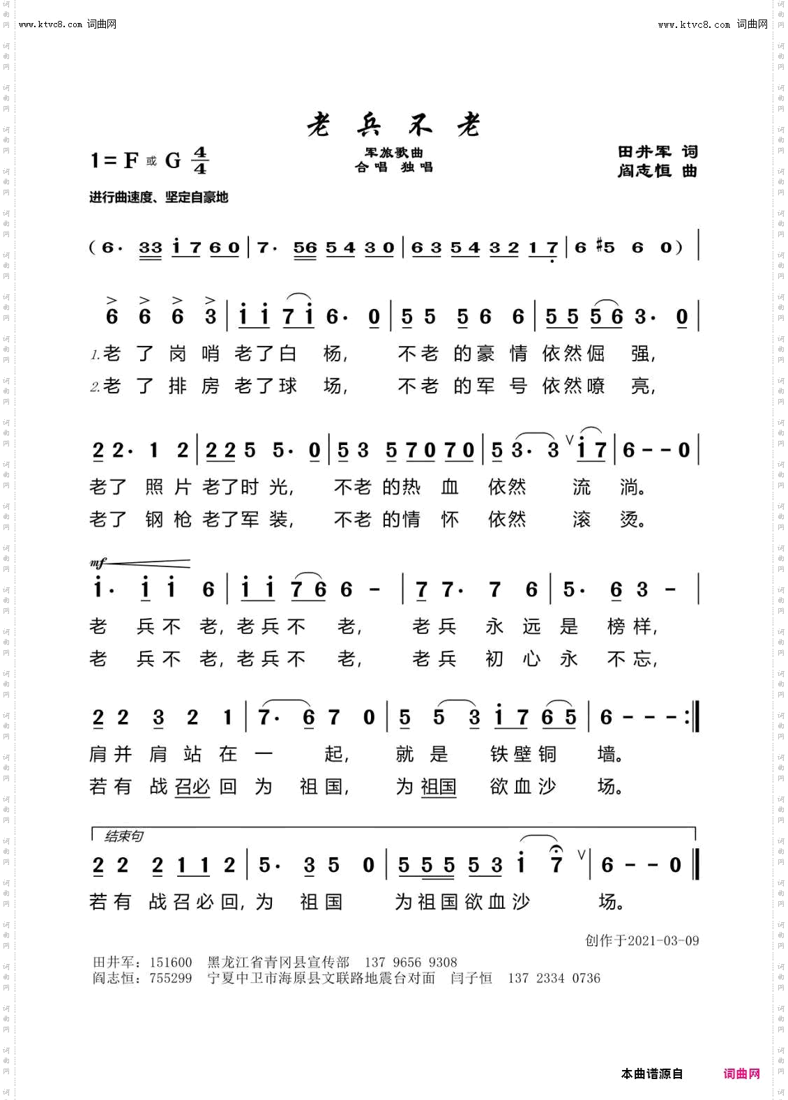
老兵不老

相关话题:老兵不老   田井军   闫子恒

乐器分类
戏曲专栏
热门话题