首页 > 声乐 > 简谱 / 正文内容_中南海之歌-中南海之歌,秦光龙,马烁,赵宝祥简谱

中南海之歌-中南海之歌,秦光龙,马烁,赵宝祥简谱

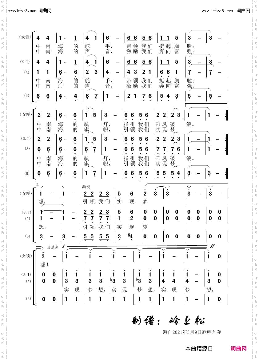
中南海之歌

中南海之歌

中南海之歌

相关话题:中南海之歌   秦光龙   马烁   赵宝祥

乐器分类
戏曲专栏
热门话题