首页 > 声乐 > 简谱 / 正文内容_踏浪_回声嘹亮2013-踏浪,庄奴,古月简谱

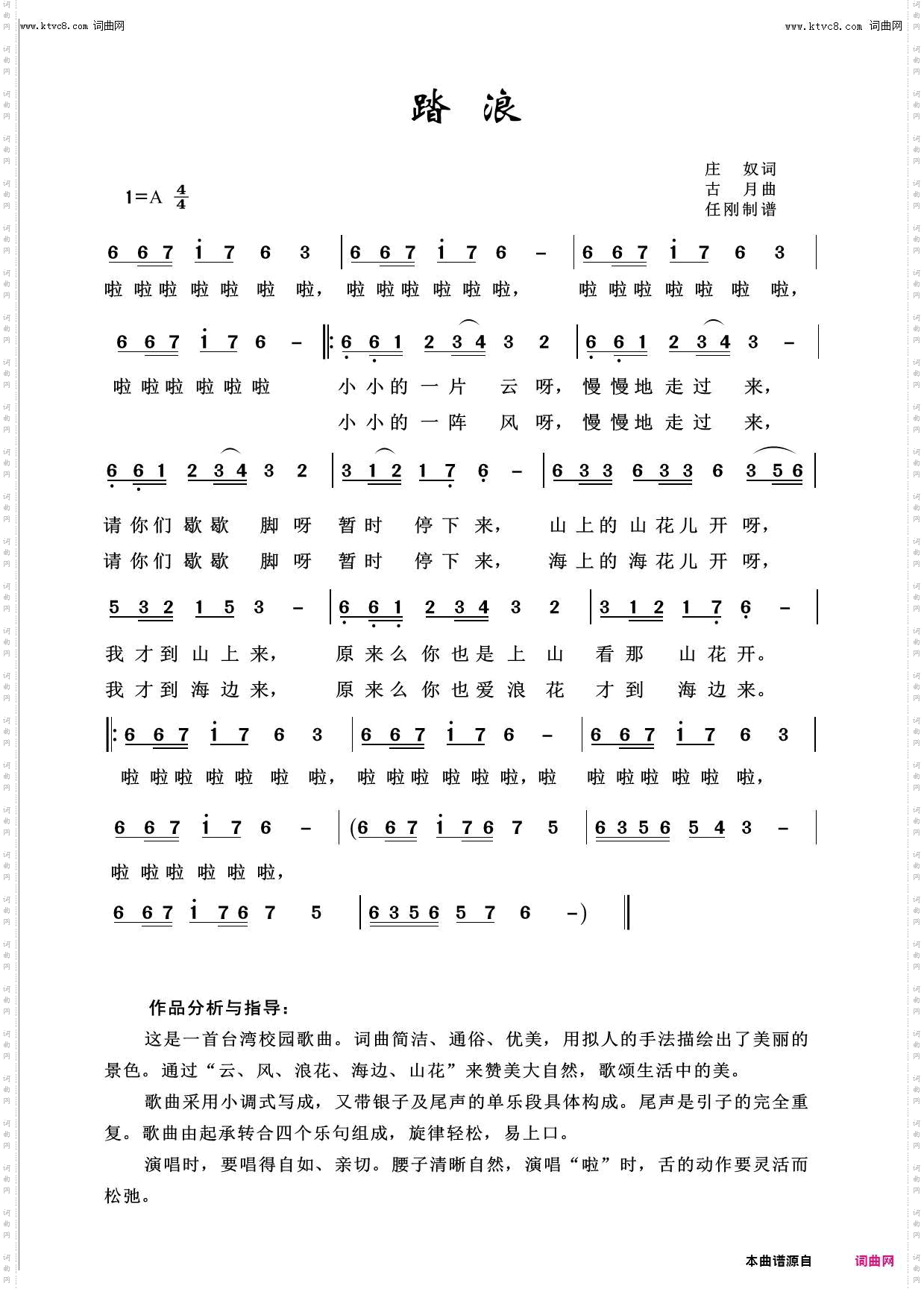
踏浪_回声嘹亮2013-踏浪,庄奴,古月简谱

踏浪_回声嘹亮2013

相关话题:踏浪   庄奴   古月

乐器分类
戏曲专栏
热门话题