首页 > 声乐 > 简谱 / 正文内容_爱眼护眼歌-爱眼护眼歌,李学芳,吴能柱,邹芷陌简谱

爱眼护眼歌-爱眼护眼歌,李学芳,吴能柱,邹芷陌简谱

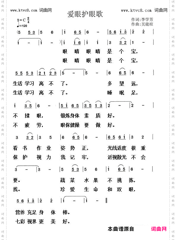
爱眼护眼歌

爱眼护眼歌

相关话题:爱眼护眼歌   李学芳   吴能柱   邹芷陌

乐器分类
戏曲专栏
热门话题