首页 > 声乐 > 简谱 / 正文内容_爱如潮水-爱如潮水,李宗盛,黎沸挥,张信哲简谱

爱如潮水-爱如潮水,李宗盛,黎沸挥,张信哲简谱

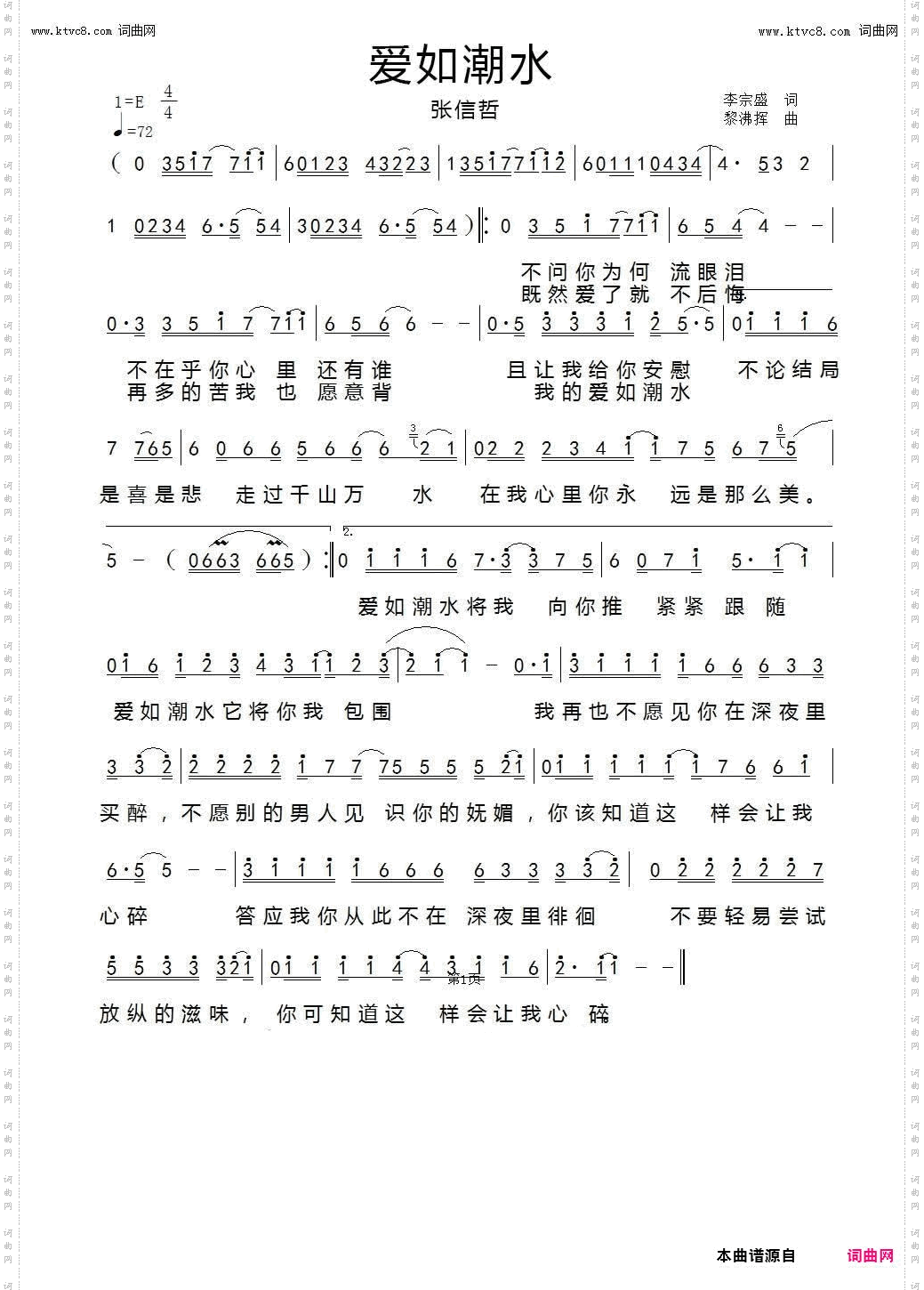
爱如潮水

相关话题:爱如潮水   李宗盛   黎沸挥   张信哲

乐器分类
戏曲专栏
热门话题